🇳🇴 🇬🇧 🇩🇪 🇨🇿 🇫🇮

Meteor, poloha: Finnsnes 2022-12-12 01:19:23 UTC

Soubor KML  |  InteraktivnĂ­ mapa

Mapa zobrazuje dráhy meteoru. Světlejší čáry ukazují směry od pozorovacích stanic při objevení se meteoru a tmavší čáry, kde byl naposledy viděn. Modrá šipka značí viditelnou dráhu meteoru.

static map
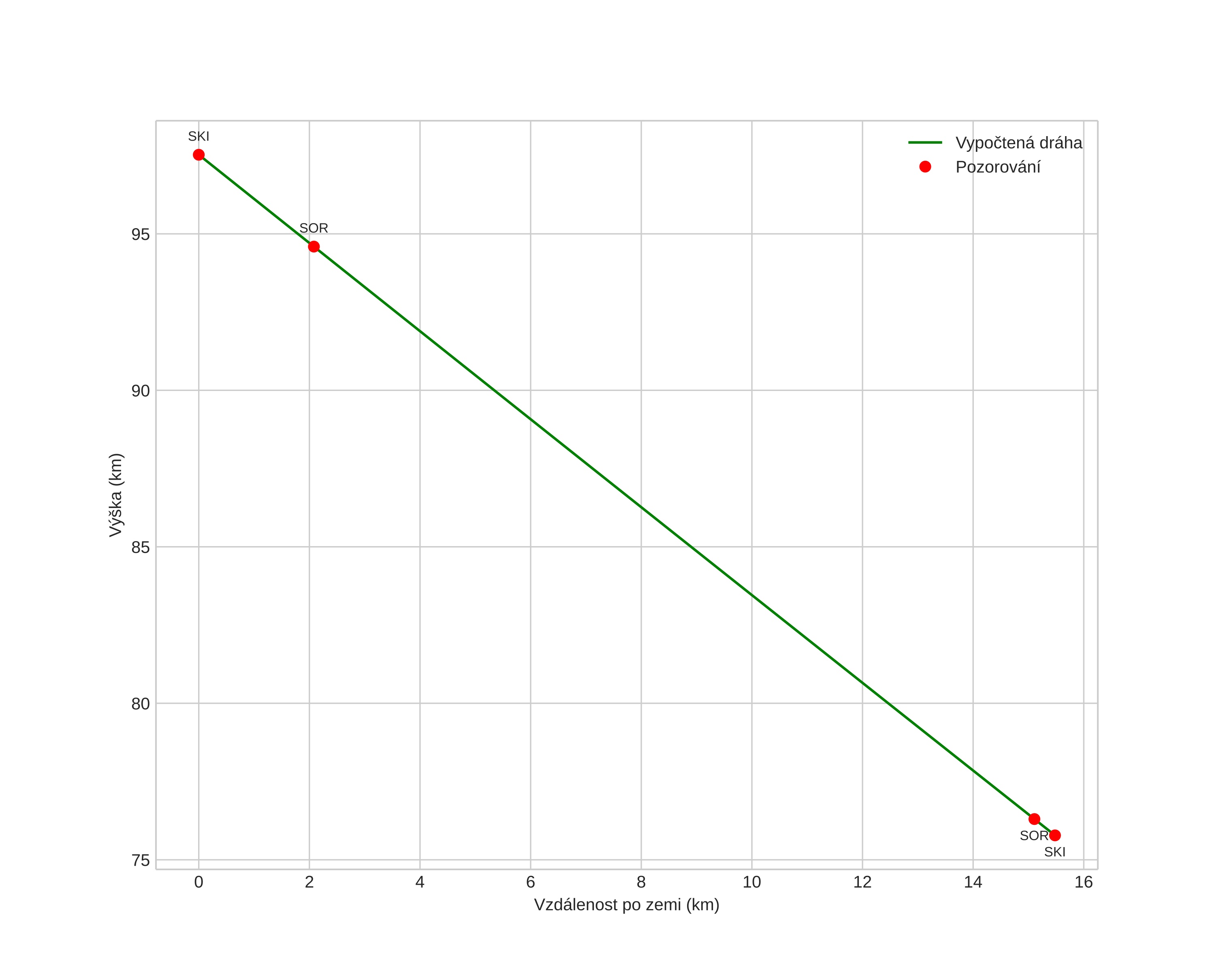
height profile
Atmosférická dráha meteoru:
Počáteční výška: 97,5 km
Konečná výška: 75,8 km
Počáteční poloha: 69,453N 17,739E
Konečná poloha: 69,591N 17,790E
Směr: 7,4°
Sklon: 54,5°
VstupnĂ­ rychlost: 35,3 km/s
Rektascenze radiantu: 07:29 (112,3°)
Deklinace radiantu: 33,1°
MeteorickĂ˝ roj: Geminidy
Elementy dráhy meteoroidu:
Vzdálenost v periheliu: 0,140 AU
Excentricita: 0,885
Sklon dráhy: 24,5°
Délka vzestupného uzlu: 259,7°
Argument perihelia: 325,7°
Střední anomálie: 332,2°
Epocha: 2022 DEC 12 01:19:23
orbit plot

NeinteraktivnĂ­ graf | InteraktivnĂ­ graf

position vs time
speed and acceleration

Sorreisa (SOR) cam4

gnomonic
Videa
• Původní
Obrázky
• Původní
Textové soubory
• Detekce
• Pozorování
• Souřadnice
• Chybová hlášení
• Protokol
Jasnost