🇳🇴 🇬🇧 🇩🇪 🇨🇿 🇫🇮

Meteor, poloha: Risør 2022-12-12 06:31:45 UTC

Soubor KML  |  InteraktivnĂ­ mapa

Mapa zobrazuje dráhy meteoru. Světlejší čáry ukazují směry od pozorovacích stanic při objevení se meteoru a tmavší čáry, kde byl naposledy viděn. Modrá šipka značí viditelnou dráhu meteoru.

static map
height profile
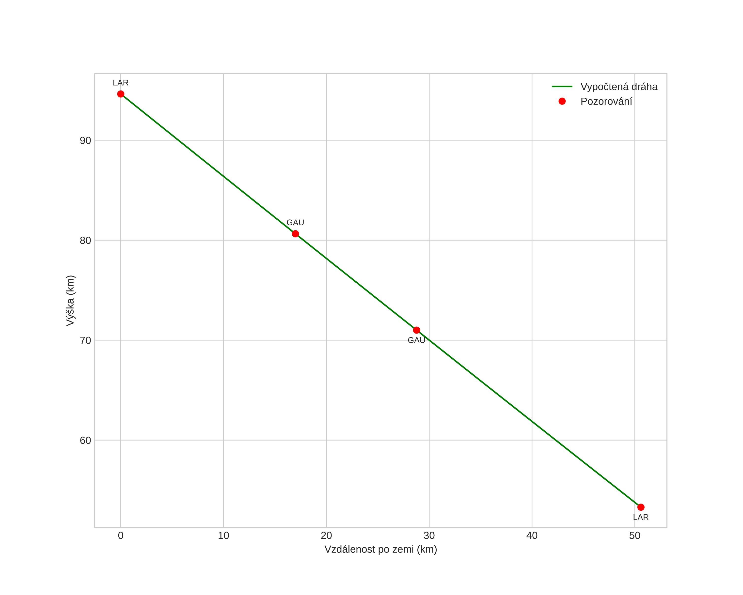
Atmosférická dráha meteoru:
Počáteční výška: 98,3 km
Konečná výška: 55,3 km
Počáteční poloha: 58,467N 8,658E
Konečná poloha: 58,463N 9,561E
Směr: 90,1°
Sklon: 39,3°
VstupnĂ­ rychlost: 44,1 km/s
Rektascenze radiantu: 07:57 (119,5°)
Deklinace radiantu: 31,9°
MeteorickĂ˝ roj: sporadickĂ˝
Elementy dráhy meteoroidu:
Vzdálenost v periheliu: 0,056 AU
Excentricita: 0,968
Sklon dráhy: 54,2°
Délka vzestupného uzlu: 259,9°
Argument perihelia: 336,5°
Střední anomálie: 346,3°
Epocha: 2022 DEC 12 06:31:45
orbit plot

NeinteraktivnĂ­ graf | InteraktivnĂ­ graf

position vs time
speed and acceleration