🇳🇴 🇬🇧 🇩🇪 🇨🇿 🇫🇮

Meteor, poloha: VikesĂĄ 2022-12-13 01:25:27 UTC

Soubor KML  |  InteraktivnĂ­ mapa

Mapa zobrazuje dráhy meteoru. Světlejší čáry ukazují směry od pozorovacích stanic při objevení se meteoru a tmavší čáry, kde byl naposledy viděn. Modrá šipka značí viditelnou dráhu meteoru.

static map
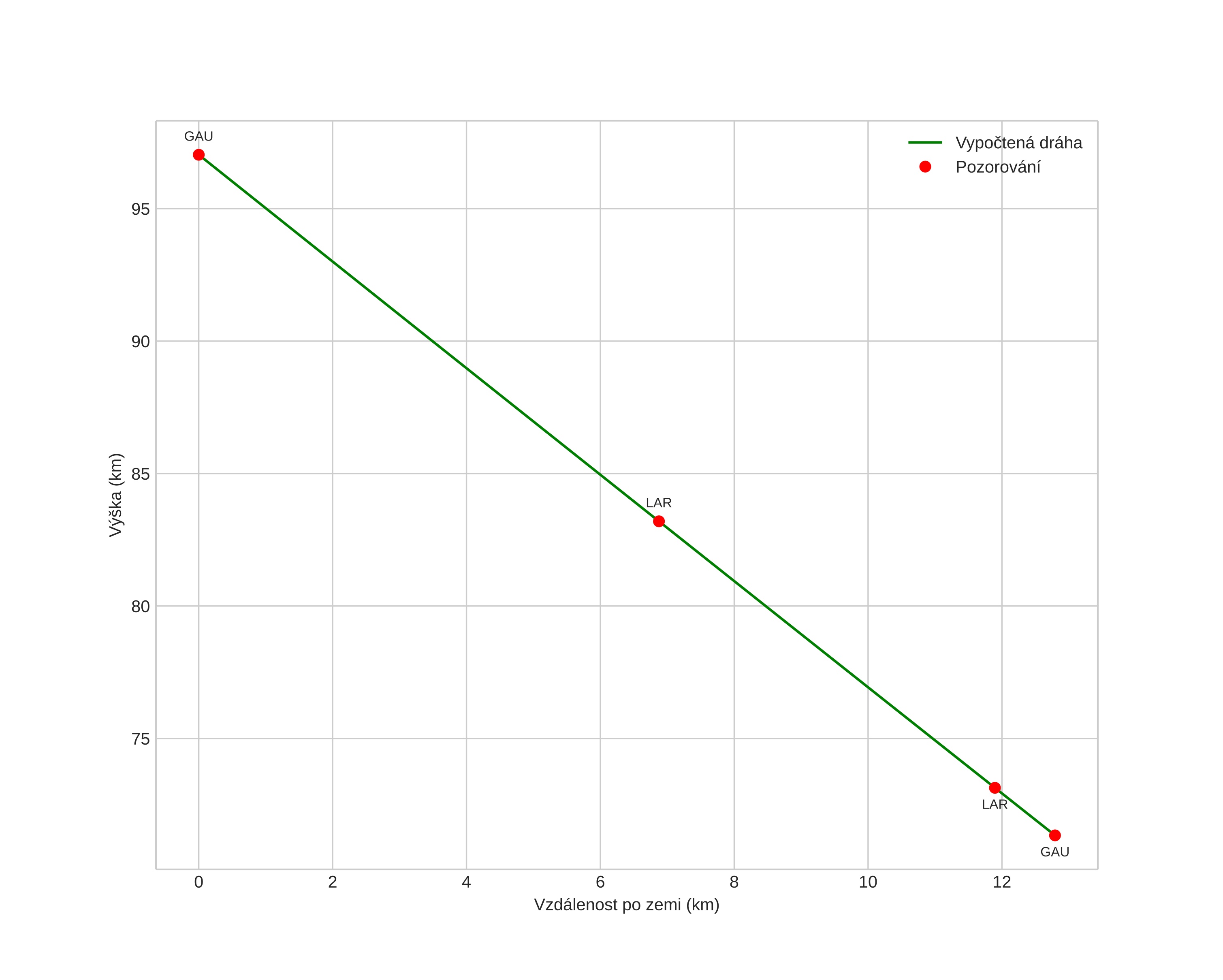
height profile
Atmosférická dráha meteoru:
Počáteční výška: 98,5 km
Konečná výška: 71,8 km
Počáteční poloha: 58,656N 6,308E
Konečná poloha: 58,776N 6,289E
Směr: 355,4°
Sklon: 63,4°
VstupnĂ­ rychlost: 38,4 km/s
Rektascenze radiantu: 07:23 (111,0°)
Deklinace radiantu: 31,5°
MeteorickĂ˝ roj: Geminidy
Elementy dráhy meteoroidu:
Vzdálenost v periheliu: 0,125 AU
Excentricita: 0,924
Sklon dráhy: 23,7°
Délka vzestupného uzlu: 260,7°
Argument perihelia: 324,8°
Střední anomálie: 343,7°
Epocha: 2022 DEC 13 01:25:27
orbit plot

NeinteraktivnĂ­ graf | InteraktivnĂ­ graf

position vs time
speed and acceleration