🇳🇴 🇬🇧 🇩🇪 🇨🇿 🇫🇮

Meteor Lakselvin yllä 2022-12-13 01:57:57 UTC

KML-tiedosto  |  Interaktiivinen kartta

Kartta näyttää meteorin suuntahavainnot. Vaaleammat viivat näyttävät suunnat havaintoasemilta meteorin ilmestyessä, ja tummemmat viivat näyttävät, missä se viimeksi nähtiin. Sininen nuoli näyttää meteorin näkyvän lennon.

static map
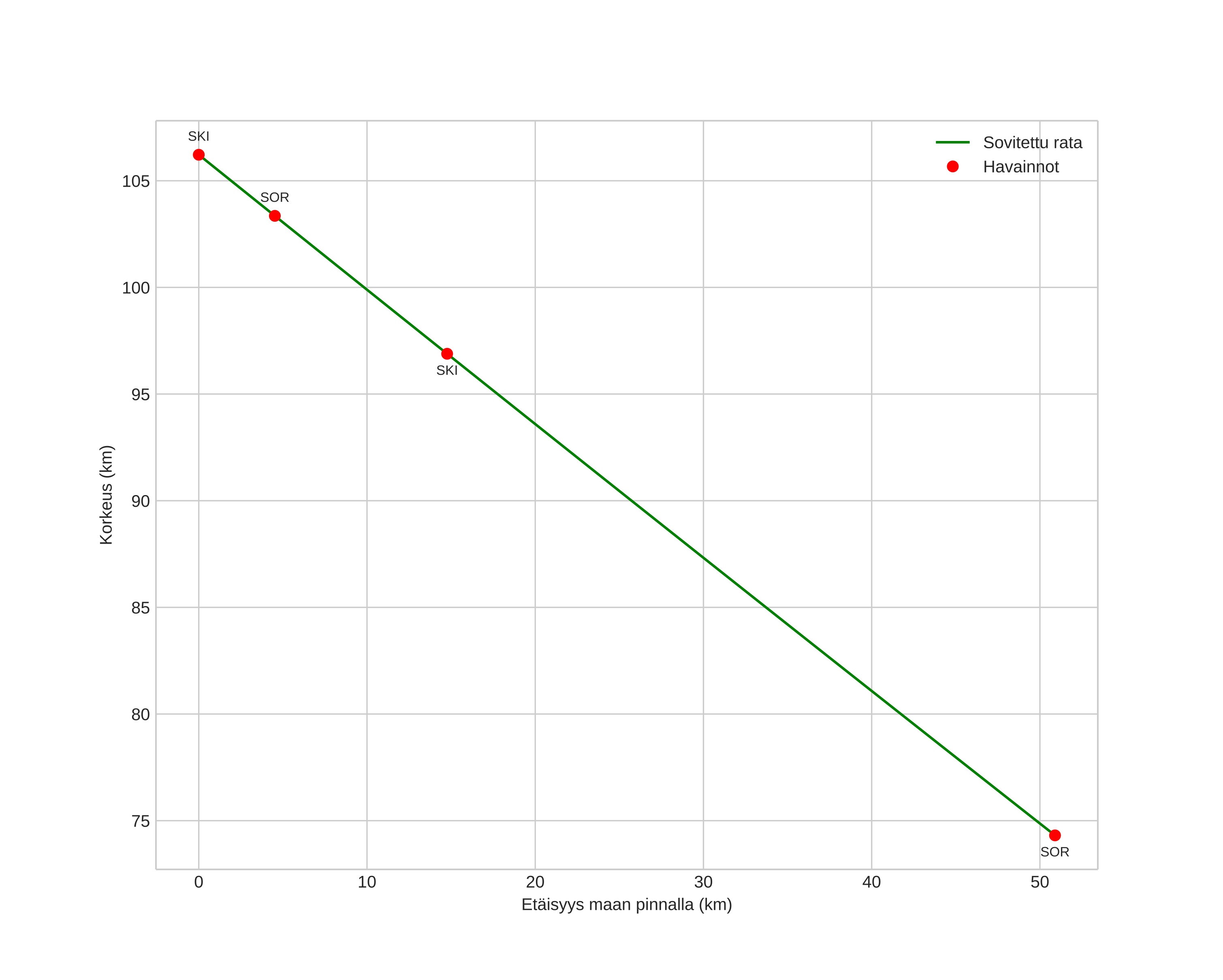
height profile
Meteorin ilmakehärata:
Alkukorkeus: 103,0 km
Loppukorkeus: 74,1 km
Alkupiste: 69,876N 23,759E
Loppupiste: 70,270N 24,516E
Suunta: 32,9°
Kallistuskulma: 28,9°
Tulonopeus: 41,6 km/s
Radiantin R,A,: 07:00 (105,1°)
Radiantin Dekl,: 10,4°
Meteoriparvi: Monoserotidit
Meteoroidin rataelementit:
Perihelietäisyys: 0,149 AU
Eksentrisyys: 0,959
Inklinaatio: 31,5°
Nousevan solmun pituus: 80,7°
Perihelin argumentti: 137,2°
Keskianomalia: 355,1°
Epookki: 2022 DEC 13 01:57:57
orbit plot

Ei-interaktiivinen kuvaaja | Interaktiivinen kuvaaja

position vs time
speed and acceleration