🇳🇴 🇬🇧 🇩🇪 🇨🇿 🇫🇮

Meteor, poloha: Fedje 2022-12-13 02:53:48 UTC

Soubor KML  |  InteraktivnĂ­ mapa

Mapa zobrazuje dráhy meteoru. Světlejší čáry ukazují směry od pozorovacích stanic při objevení se meteoru a tmavší čáry, kde byl naposledy viděn. Modrá šipka značí viditelnou dráhu meteoru.

static map
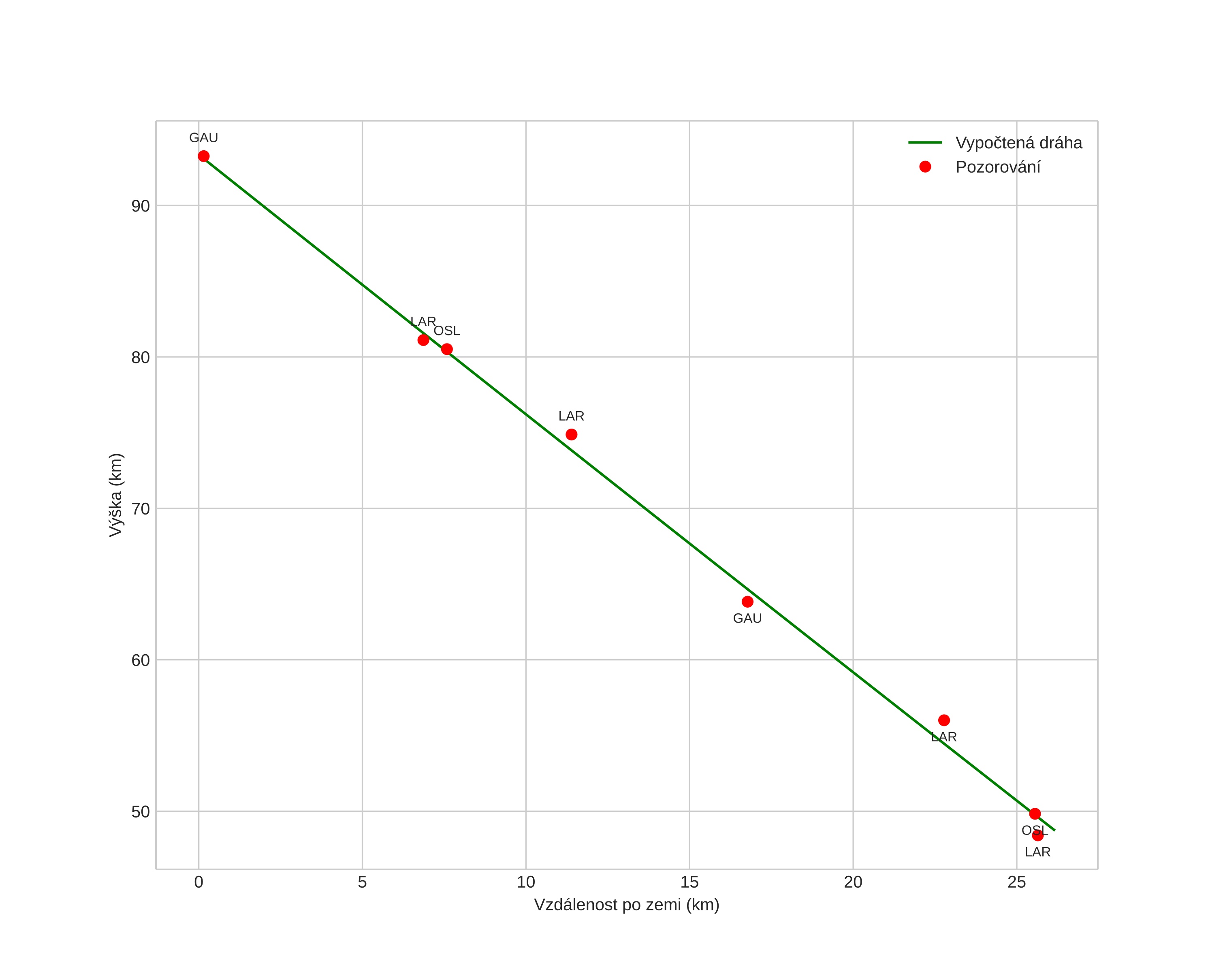
height profile
Atmosférická dráha meteoru:
Počáteční výška: 95,0 km
Konečná výška: 50,6 km
Počáteční poloha: 60,731N 4,441E
Konečná poloha: 60,930N 4,660E
Směr: 28,1°
Sklon: 60,6°
VstupnĂ­ rychlost: 36,3 km/s
Rektascenze radiantu: 07:30 (112,5°)
Deklinace radiantu: 32,4°
MeteorickĂ˝ roj: Geminidy
Elementy dráhy meteoroidu:
Vzdálenost v periheliu: 0,135 AU
Excentricita: 0,899
Sklon dráhy: 24,2°
Délka vzestupného uzlu: 260,7°
Argument perihelia: 325,2°
Střední anomálie: 336,6°
Epocha: 2022 DEC 13 02:53:48
orbit plot

NeinteraktivnĂ­ graf | InteraktivnĂ­ graf

position vs time
speed and acceleration