🇳🇴 🇬🇧 🇩🇪 🇨🇿 🇫🇮

Meteor, poloha: Hansnes 2022-12-13 03:16:34 UTC

Soubor KML  |  InteraktivnĂ­ mapa

Mapa zobrazuje dráhy meteoru. Světlejší čáry ukazují směry od pozorovacích stanic při objevení se meteoru a tmavší čáry, kde byl naposledy viděn. Modrá šipka značí viditelnou dráhu meteoru.

static map
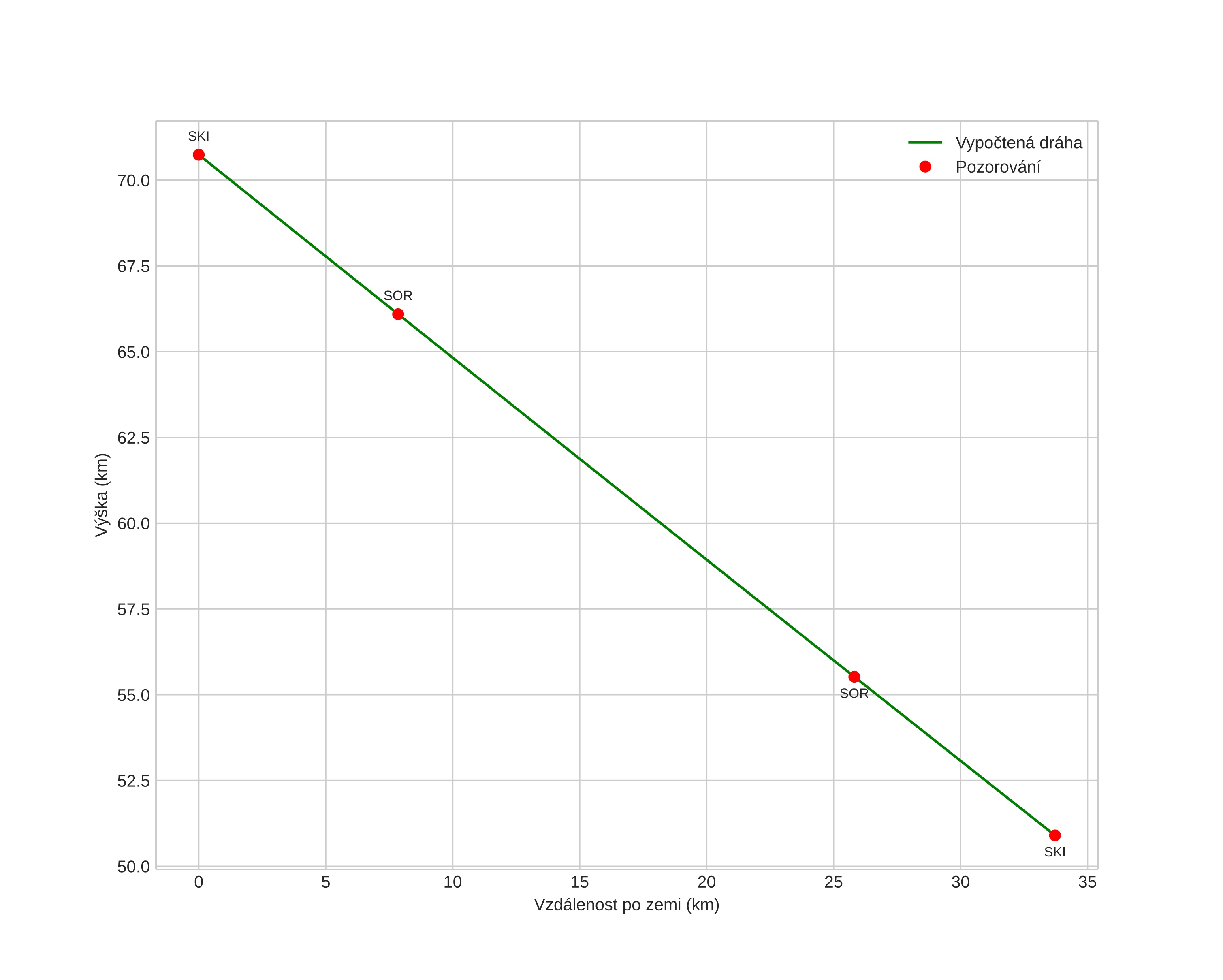
height profile
Atmosférická dráha meteoru:
Počáteční výška: 72,2 km
Konečná výška: 50,4 km
Počáteční poloha: 70,121N 18,515E
Konečná poloha: 69,974N 19,370E
Směr: 116,4°
Sklon: 30,9°
VstupnĂ­ rychlost: 14,7 km/s
Rektascenze radiantu: 02:41 (40,3°)
Deklinace radiantu: 25,0°
MeteorickĂ˝ roj: sporadickĂ˝
Elementy dráhy meteoroidu:
Vzdálenost v periheliu: 0,915 AU
Excentricita: 0,535
Sklon dráhy: 2,4°
Délka vzestupného uzlu: 260,7°
Argument perihelia: 217,1°
Střední anomálie: 350,1°
Epocha: 2022 DEC 13 03:16:34
orbit plot

NeinteraktivnĂ­ graf | InteraktivnĂ­ graf

position vs time
speed and acceleration