🇳🇴 🇬🇧 🇩🇪 🇨🇿 🇫🇮

Meteor, poloha: Finnsnes 2022-12-13 04:05:26 UTC

Soubor KML  |  InteraktivnĂ­ mapa

Mapa zobrazuje dráhy meteoru. Světlejší čáry ukazují směry od pozorovacích stanic při objevení se meteoru a tmavší čáry, kde byl naposledy viděn. Modrá šipka značí viditelnou dráhu meteoru.

static map
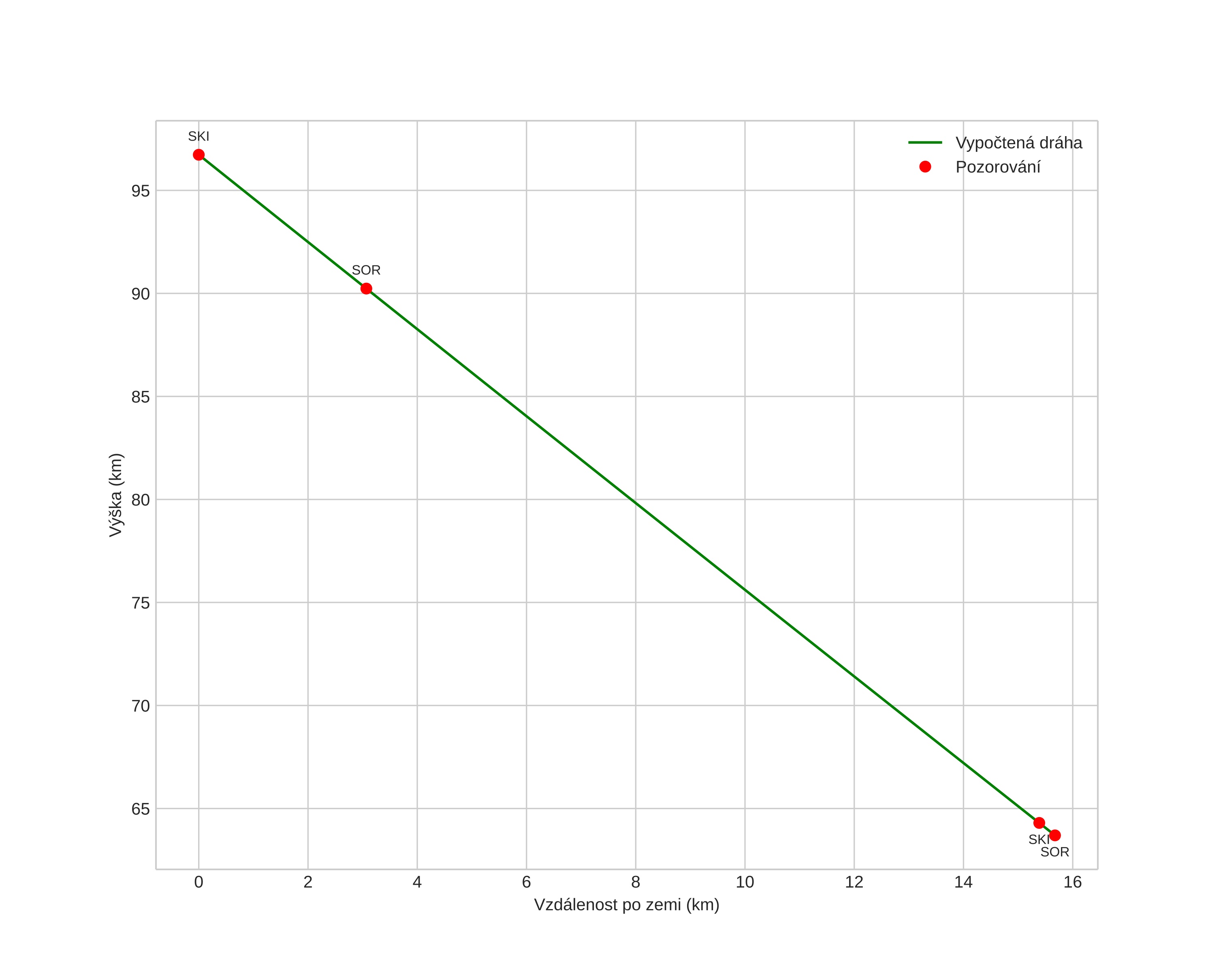
height profile
Atmosférická dráha meteoru:
Počáteční výška: 96,7 km
Konečná výška: 63,7 km
Počáteční poloha: 70,773N 17,901E
Konečná poloha: 70,748N 17,479E
Směr: 260,3°
Sklon: 64,6°
VstupnĂ­ rychlost: 37,7 km/s
Rektascenze radiantu: 14:51 (222,9°)
Deklinace radiantu: 61,0°
MeteorickĂ˝ roj: sporadickĂ˝
Elementy dráhy meteoroidu:
Vzdálenost v periheliu: 0,984 AU
Excentricita: 0,589
Sklon dráhy: 62,7°
Délka vzestupného uzlu: 260,8°
Argument perihelia: 179,0°
Střední anomálie: 0,2°
Epocha: 2022 DEC 13 04:05:26
orbit plot

NeinteraktivnĂ­ graf | InteraktivnĂ­ graf

position vs time
speed and acceleration