🇳🇴 🇬🇧 🇩🇪 🇨🇿 🇫🇮

Meteor, poloha: Geilo 2022-12-13 04:14:22 UTC

Soubor KML  |  InteraktivnĂ­ mapa

Mapa zobrazuje dráhy meteoru. Světlejší čáry ukazují směry od pozorovacích stanic při objevení se meteoru a tmavší čáry, kde byl naposledy viděn. Modrá šipka značí viditelnou dráhu meteoru.

static map
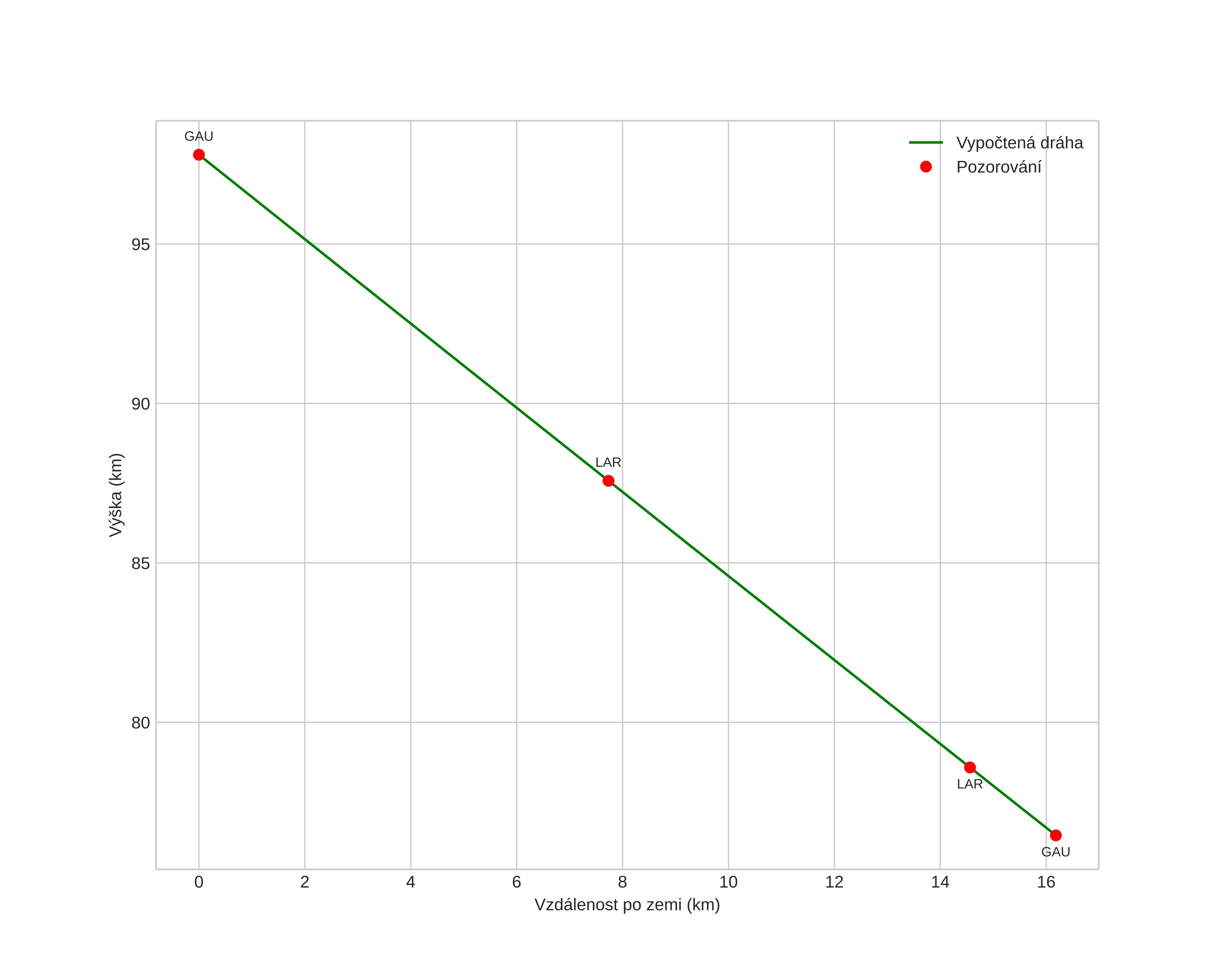
height profile
Atmosférická dráha meteoru:
Počáteční výška: 97,6 km
Konečná výška: 75,9 km
Počáteční poloha: 60,130N 8,056E
Konečná poloha: 60,193N 8,317E
Směr: 63,9°
Sklon: 53,6°
VstupnĂ­ rychlost: 37,6 km/s
Rektascenze radiantu: 07:27 (111,9°)
Deklinace radiantu: 33,7°
MeteorickĂ˝ roj: Geminidy
Elementy dráhy meteoroidu:
Vzdálenost v periheliu: 0,140 AU
Excentricita: 0,911
Sklon dráhy: 27,8°
Délka vzestupného uzlu: 260,8°
Argument perihelia: 323,2°
Střední anomálie: 341,8°
Epocha: 2022 DEC 13 04:14:22
orbit plot

NeinteraktivnĂ­ graf | InteraktivnĂ­ graf

position vs time
speed and acceleration