🇳🇴 🇬🇧 🇩🇪 🇨🇿 🇫🇮

Meteor, poloha: Stavern 2022-12-13 04:40:59 UTC

Soubor KML  |  InteraktivnĂ­ mapa

Mapa zobrazuje dráhy meteoru. Světlejší čáry ukazují směry od pozorovacích stanic při objevení se meteoru a tmavší čáry, kde byl naposledy viděn. Modrá šipka značí viditelnou dráhu meteoru.

static map
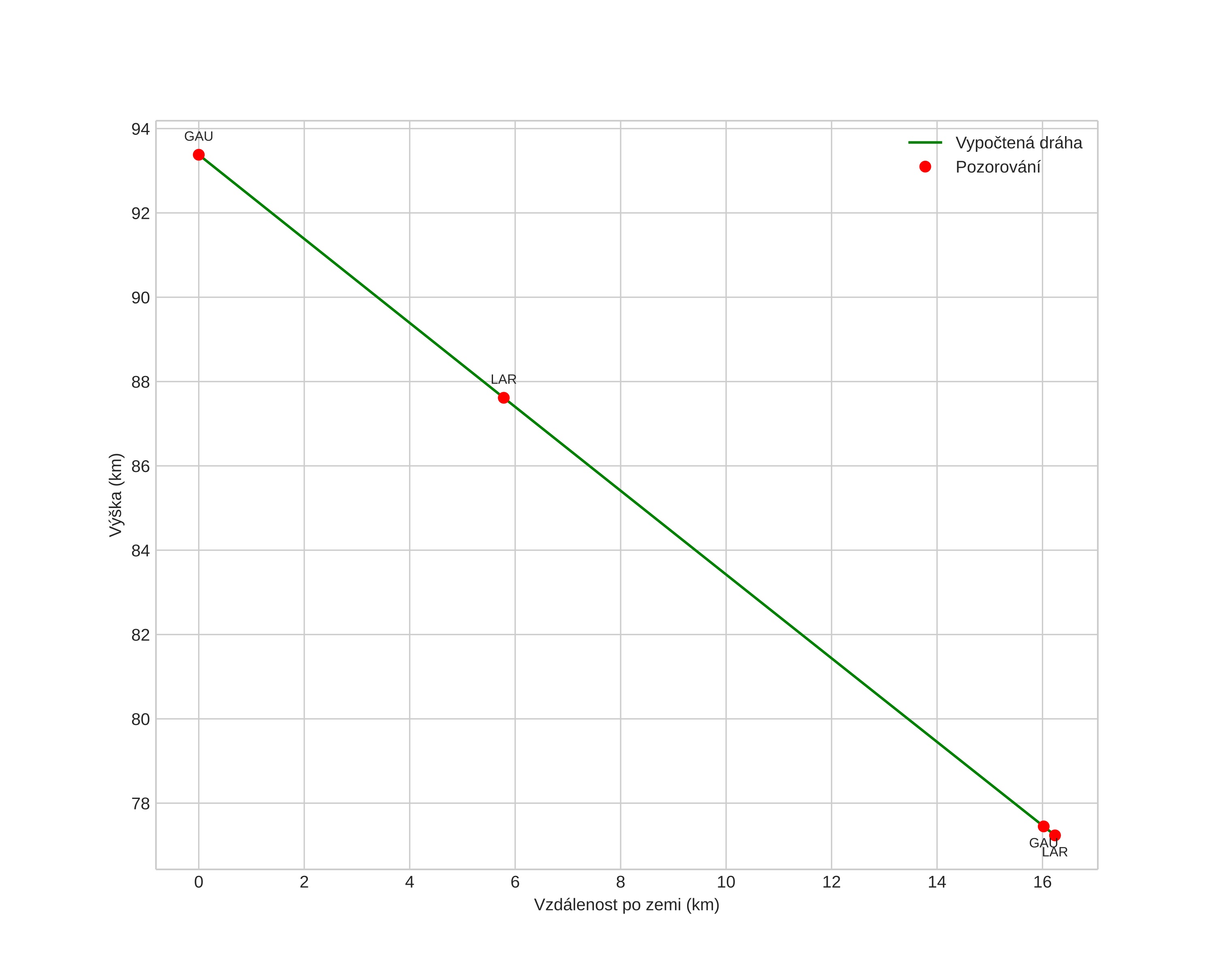
height profile
Atmosférická dráha meteoru:
Počáteční výška: 94,3 km
Konečná výška: 75,9 km
Počáteční poloha: 58,763N 9,856E
Konečná poloha: 58,796N 10,134E
Směr: 77,0°
Sklon: 48,1°
VstupnĂ­ rychlost: 39,1 km/s
Rektascenze radiantu: 07:16 (109,0°)
Deklinace radiantu: 33,1°
MeteorickĂ˝ roj: Geminidy
Elementy dráhy meteoroidu:
Vzdálenost v periheliu: 0,145 AU
Excentricita: 0,932
Sklon dráhy: 25,9°
Délka vzestupného uzlu: 260,8°
Argument perihelia: 320,1°
Střední anomálie: 349,0°
Epocha: 2022 DEC 13 04:40:59
orbit plot

NeinteraktivnĂ­ graf | InteraktivnĂ­ graf

position vs time
speed and acceleration