🇳🇴 🇬🇧 🇩🇪 🇨🇿 🇫🇮

Meteor, poloha: Tromsø 2022-12-13 04:52:38 UTC

Soubor KML  |  InteraktivnĂ­ mapa

Mapa zobrazuje dráhy meteoru. Světlejší čáry ukazují směry od pozorovacích stanic při objevení se meteoru a tmavší čáry, kde byl naposledy viděn. Modrá šipka značí viditelnou dráhu meteoru.

static map
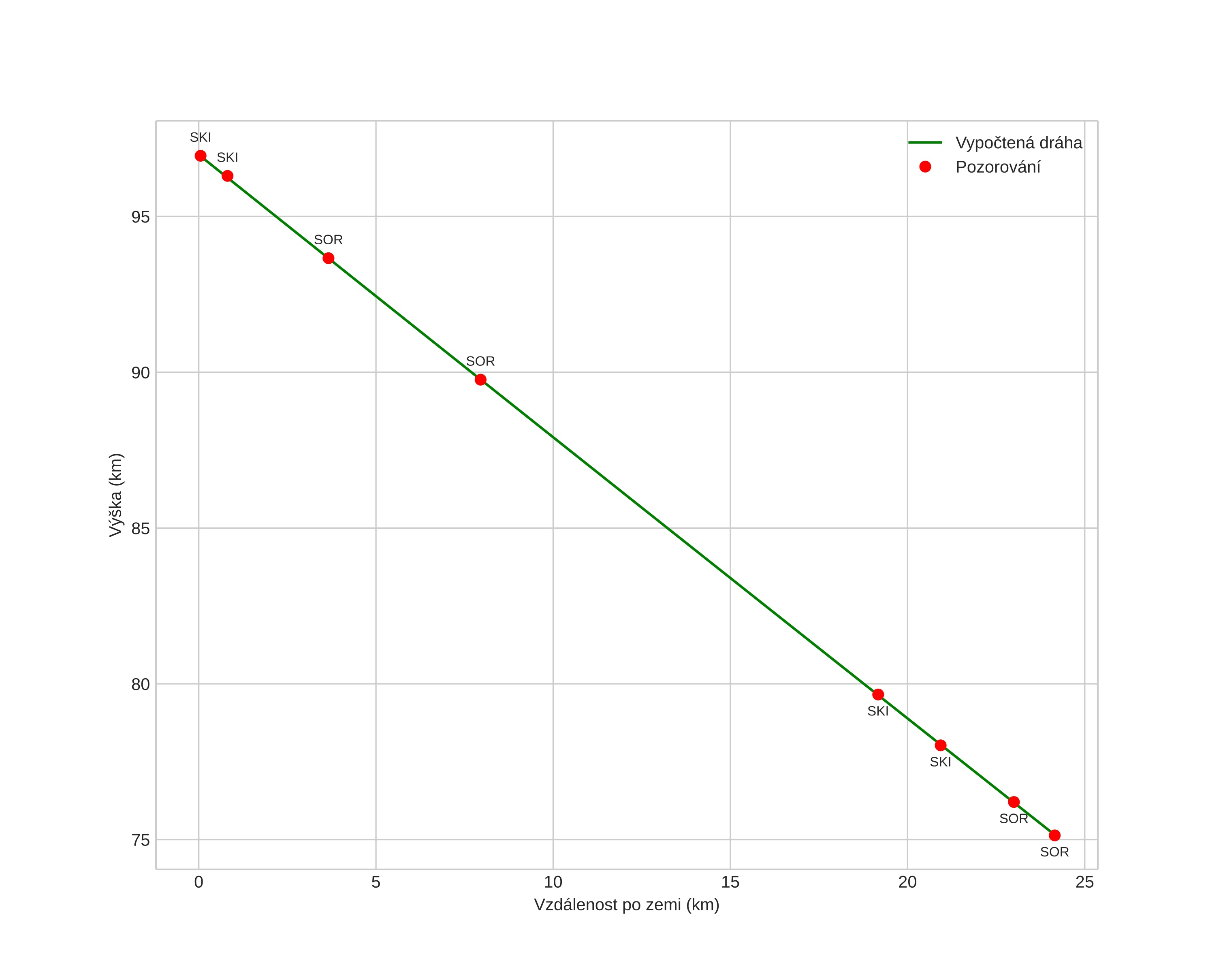
height profile
Atmosférická dráha meteoru:
Počáteční výška: 96,6 km
Konečná výška: 75,1 km
Počáteční poloha: 69,389N 18,422E
Konečná poloha: 69,443N 19,005E
Směr: 75,0°
Sklon: 42,4°
VstupnĂ­ rychlost: 38,4 km/s
Rektascenze radiantu: 07:30 (112,7°)
Deklinace radiantu: 33,2°
MeteorickĂ˝ roj: Geminidy
Elementy dráhy meteoroidu:
Vzdálenost v periheliu: 0,126 AU
Excentricita: 0,921
Sklon dráhy: 28,9°
Délka vzestupného uzlu: 260,8°
Argument perihelia: 324,9°
Střední anomálie: 342,7°
Epocha: 2022 DEC 13 04:52:38
orbit plot

NeinteraktivnĂ­ graf | InteraktivnĂ­ graf

position vs time
speed and acceleration