🇳🇴 🇬🇧 🇩🇪 🇨🇿 🇫🇮

Meteor, poloha: Rjukan 2022-12-14 17:00:52 UTC

Soubor KML  |  InteraktivnĂ­ mapa

Mapa zobrazuje dráhy meteoru. Světlejší čáry ukazují směry od pozorovacích stanic při objevení se meteoru a tmavší čáry, kde byl naposledy viděn. Modrá šipka značí viditelnou dráhu meteoru.

static map
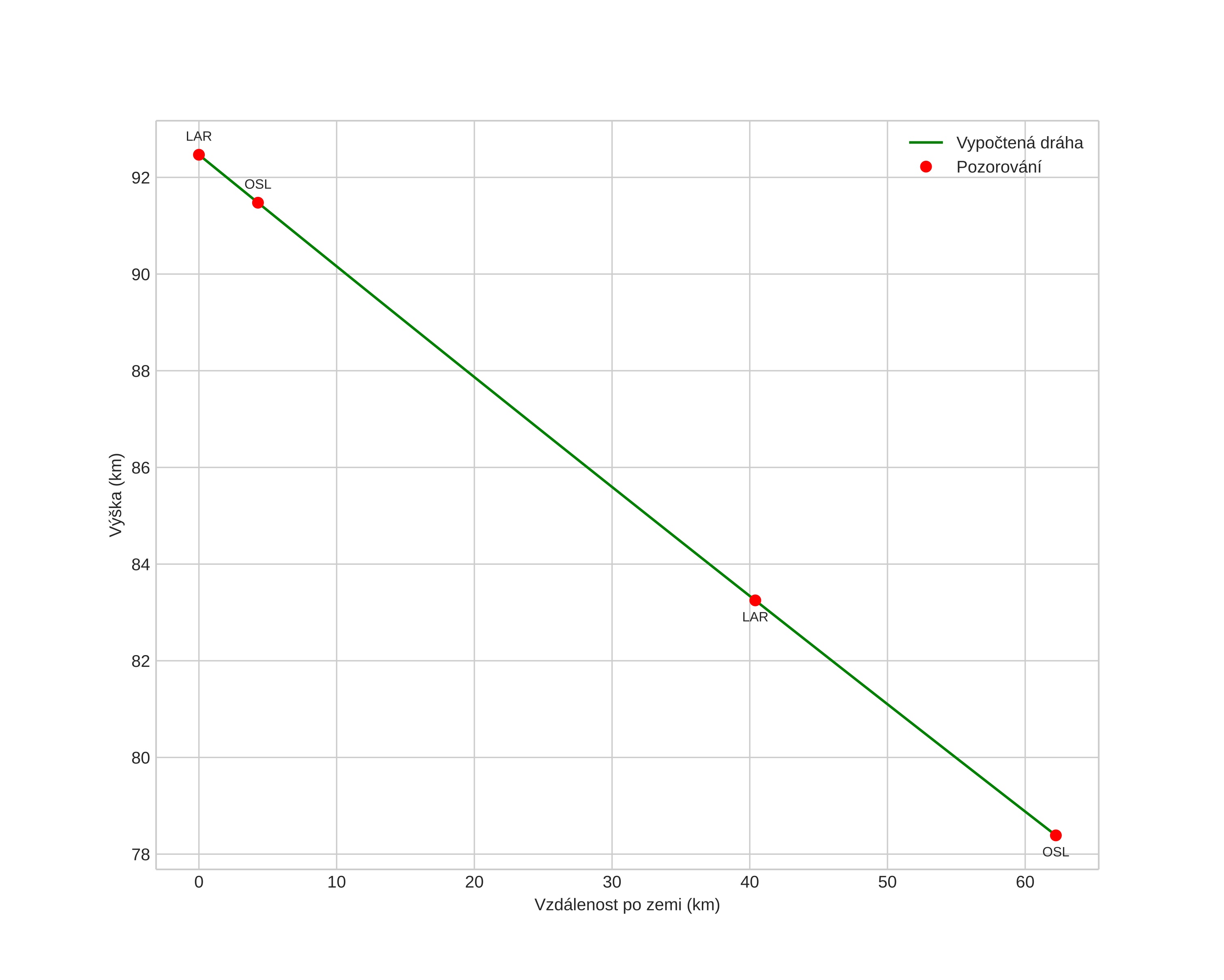
height profile
Atmosférická dráha meteoru:
Počáteční výška: 93,2 km
Konečná výška: 82,8 km
Počáteční poloha: 60,229N 9,072E
Konečná poloha: 59,923N 8,393E
Směr: 228,2°
Sklon: 11,6°
VstupnĂ­ rychlost: 34,8 km/s
Rektascenze radiantu: 07:25 (111,3°)
Deklinace radiantu: 27,8°
MeteorickĂ˝ roj: Geminidy
Elementy dráhy meteoroidu:
Vzdálenost v periheliu: 0,149 AU
Excentricita: 0,885
Sklon dráhy: 11,8°
Délka vzestupného uzlu: 262,3°
Argument perihelia: 323,8°
Střední anomálie: 334,7°
Epocha: 2022 DEC 14 17:00:52
orbit plot

NeinteraktivnĂ­ graf | InteraktivnĂ­ graf

position vs time
speed and acceleration