🇳🇴 🇬🇧 🇩🇪 🇨🇿 🇫🇮

Meteor Tonstadin yllä 2022-12-14 21:40:49 UTC

KML-tiedosto  |  Interaktiivinen kartta

Kartta näyttää meteorin suuntahavainnot. Vaaleammat viivat näyttävät suunnat havaintoasemilta meteorin ilmestyessä, ja tummemmat viivat näyttävät, missä se viimeksi nähtiin. Sininen nuoli näyttää meteorin näkyvän lennon.

static map
height profile
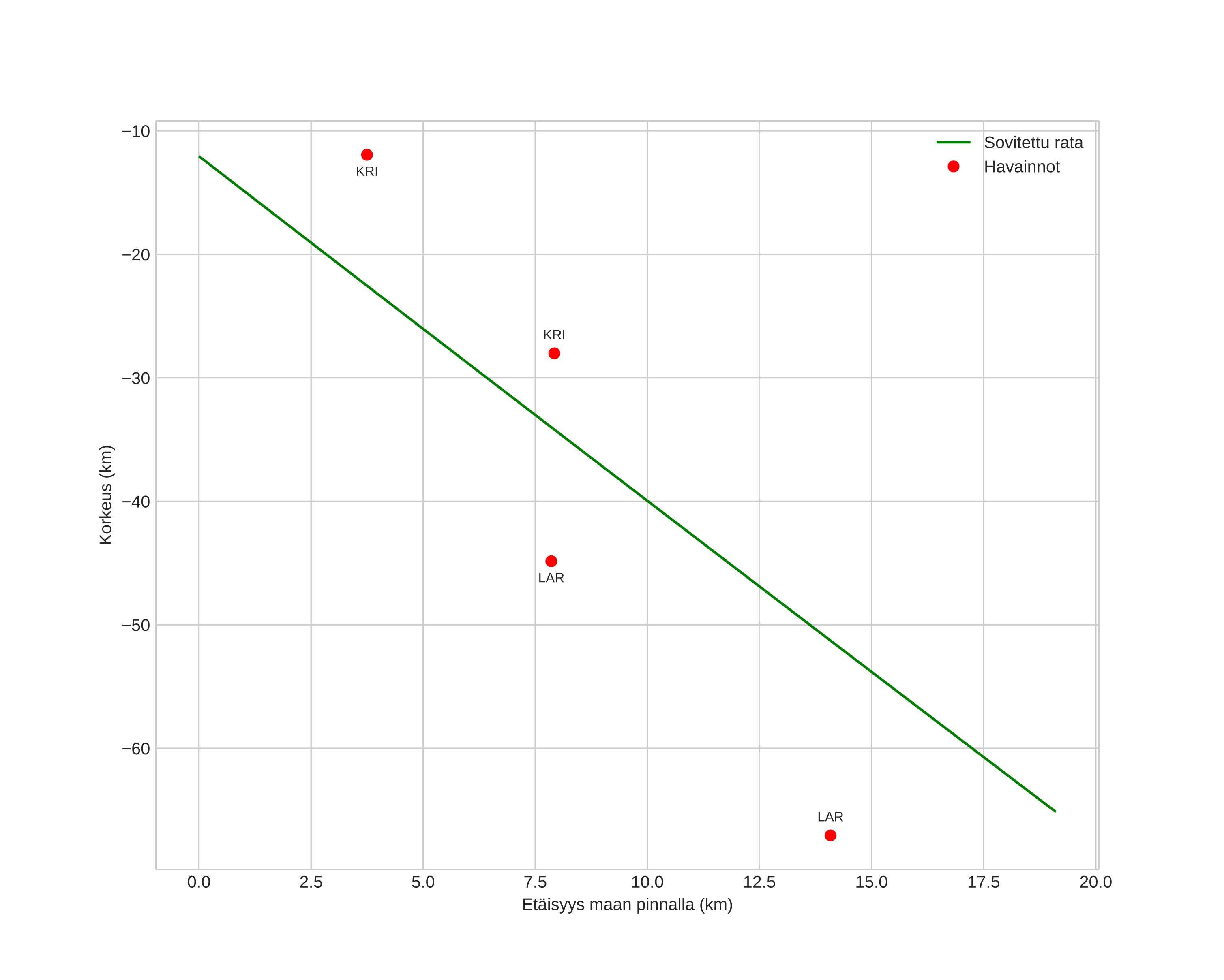
Meteorin ilmakehärata:
Alkukorkeus: -12,1 km
Loppukorkeus: -64,8 km
Alkupiste: 59,031N 6,976E
Loppupiste: 59,170N 6,778E
Suunta: 323,8°
Kallistuskulma: 70,1°
orbit plot
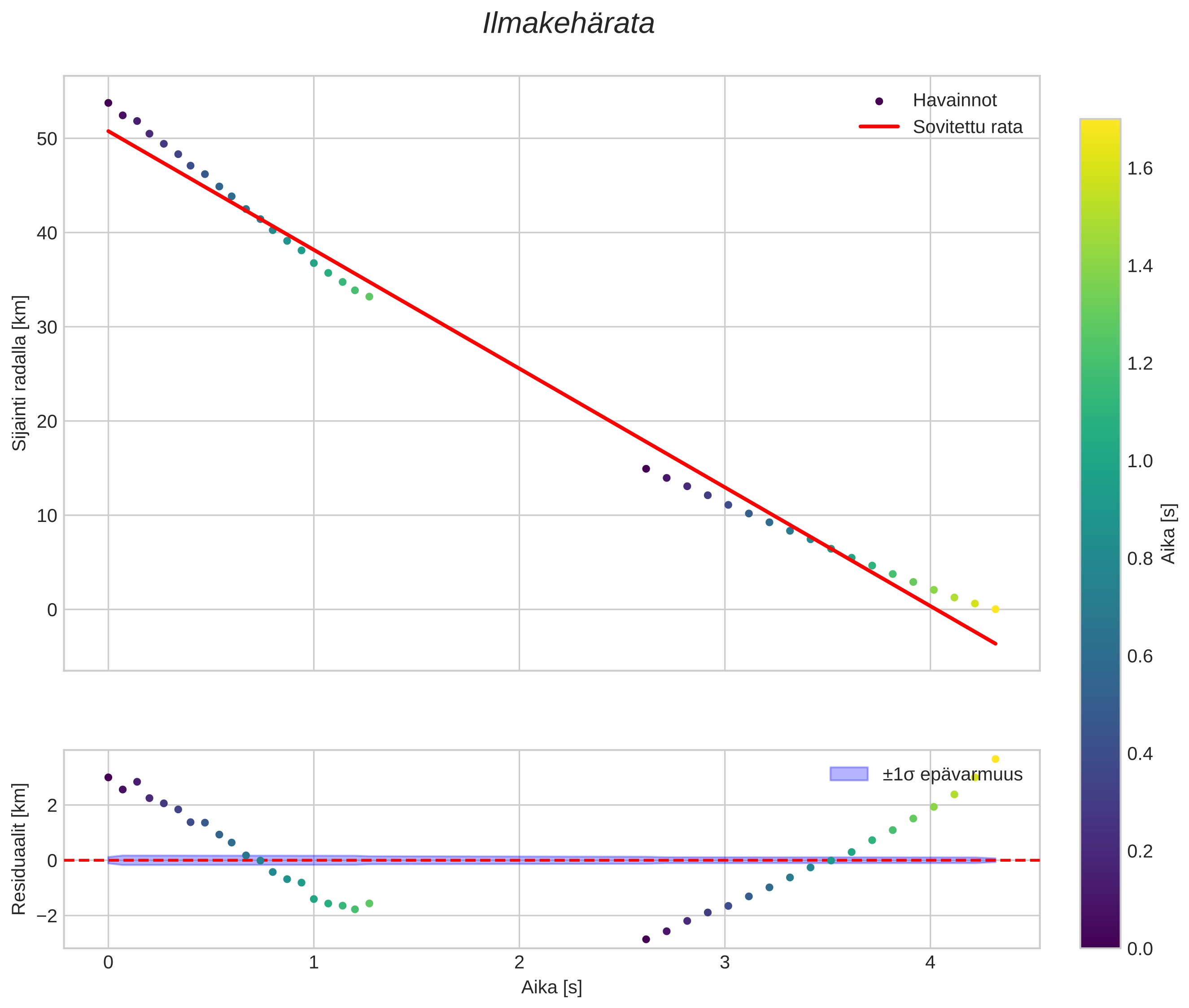
position vs time
speed and acceleration