🇳🇴 🇬🇧 🇩🇪 🇨🇿 🇫🇮

Meteor Skalsin yllä 2022-12-14 22:00:19 UTC

KML-tiedosto  |  Interaktiivinen kartta

Kartta näyttää meteorin suuntahavainnot. Vaaleammat viivat näyttävät suunnat havaintoasemilta meteorin ilmestyessä, ja tummemmat viivat näyttävät, missä se viimeksi nähtiin. Sininen nuoli näyttää meteorin näkyvän lennon.

static map
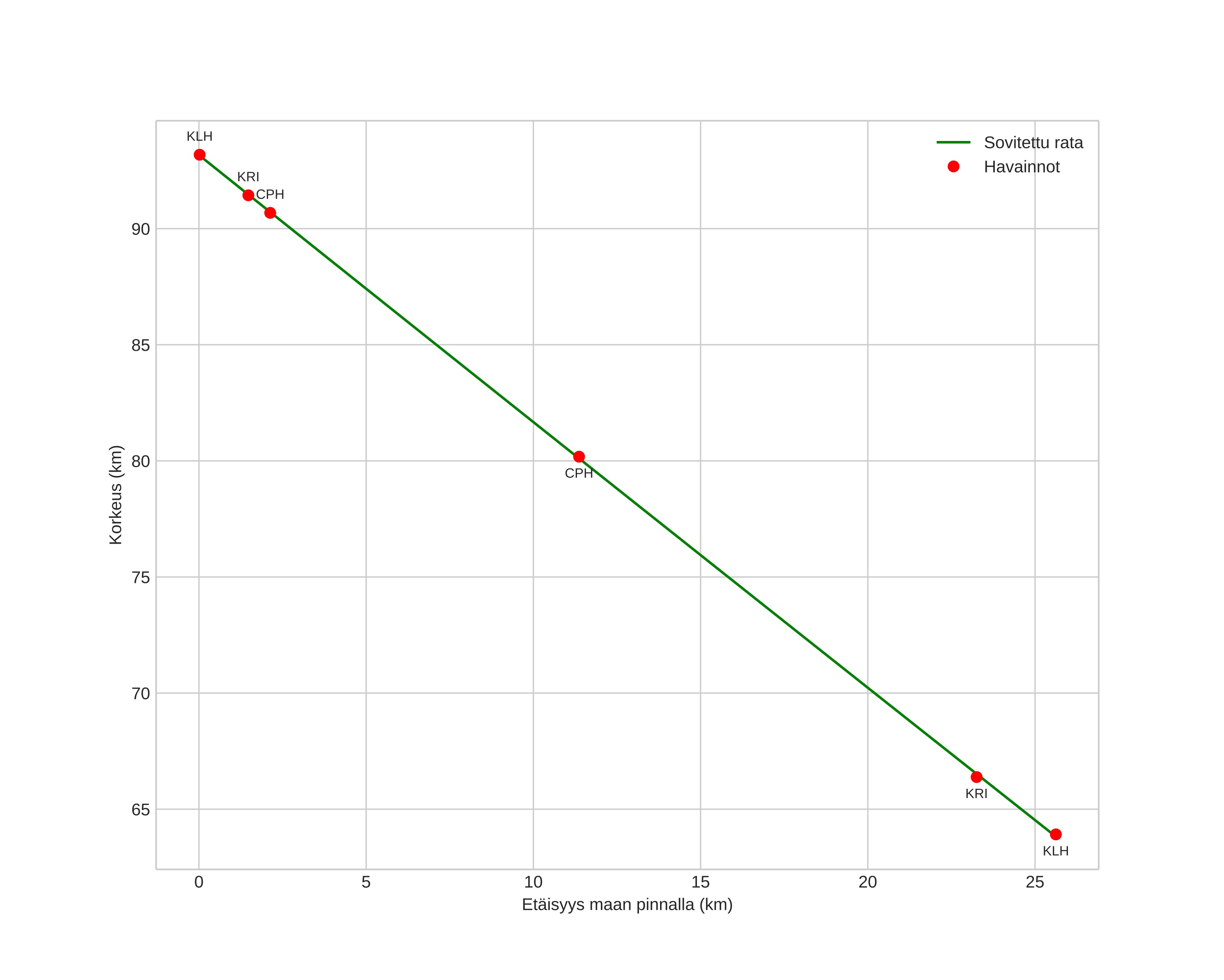
height profile
Meteorin ilmakehärata:
Alkukorkeus: 93,2 km
Loppukorkeus: 63,9 km
Alkupiste: 56,490N 9,807E
Loppupiste: 56,534N 9,398E
Suunta: 281,2°
Kallistuskulma: 48,9°
Tulonopeus: 34,7 km/s
Radiantin R,A,: 07:37 (114,5°)
Radiantin Dekl,: 33,1°
Meteoriparvi: Geminidit
Meteoroidin rataelementit:
Perihelietäisyys: 0,158 AU
Eksentrisyys: 0,871
Inklinaatio: 23,2°
Nousevan solmun pituus: 262,6°
Perihelin argumentti: 323,4°
Keskianomalia: 331,7°
Epookki: 2022 DEC 14 22:00:19
orbit plot

Ei-interaktiivinen kuvaaja | Interaktiivinen kuvaaja

position vs time
speed and acceleration