🇳🇴 🇬🇧 🇩🇪 🇨🇿 🇫🇮

Meteor Flisan yllä 2022-12-14 22:36:53 UTC

KML-tiedosto  |  Interaktiivinen kartta

Kartta näyttää meteorin suuntahavainnot. Vaaleammat viivat näyttävät suunnat havaintoasemilta meteorin ilmestyessä, ja tummemmat viivat näyttävät, missä se viimeksi nähtiin. Sininen nuoli näyttää meteorin näkyvän lennon.

static map
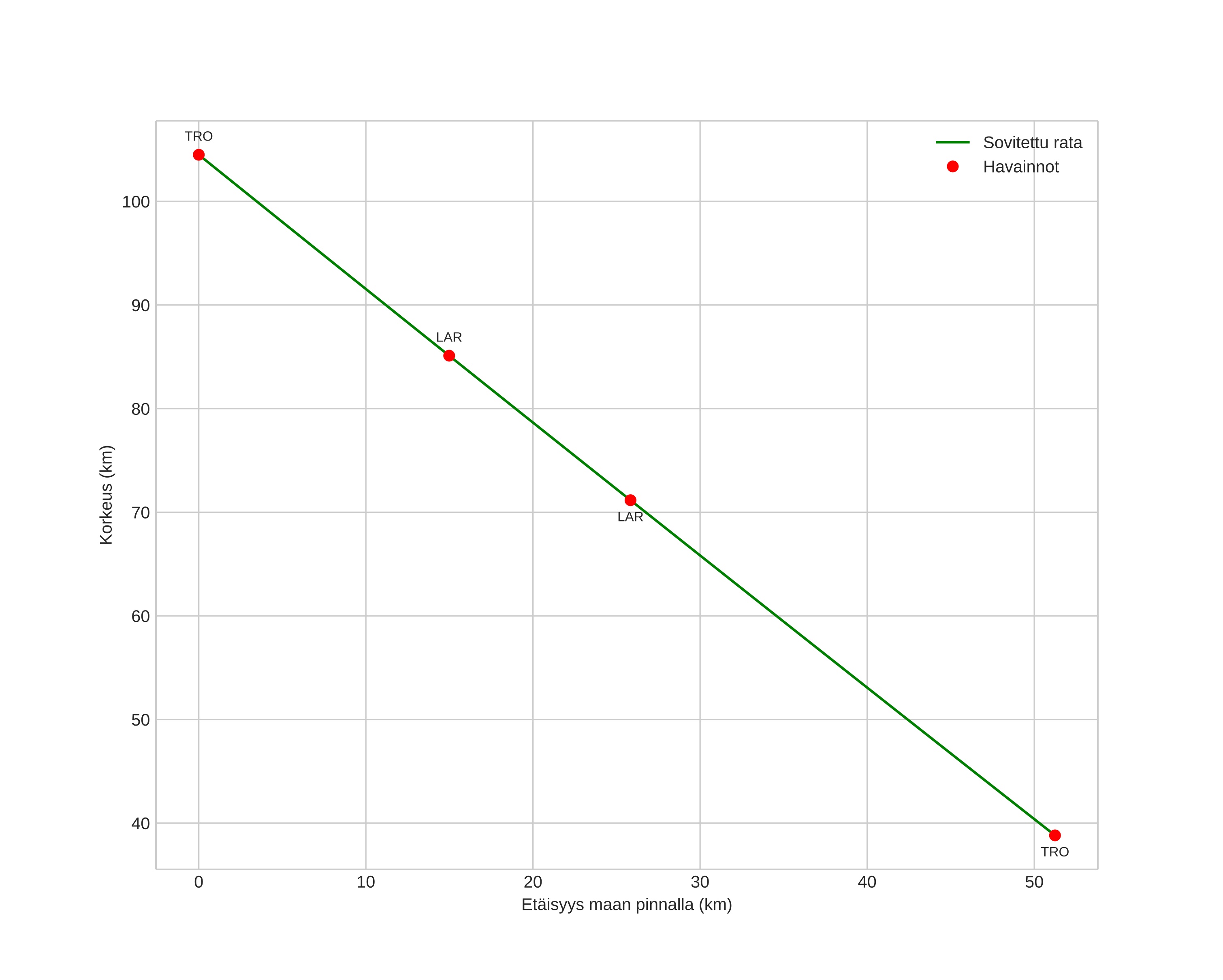
height profile
Meteorin ilmakehärata:
Alkukorkeus: 104,0 km
Loppukorkeus: 38,7 km
Alkupiste: 60,481N 13,301E
Loppupiste: 60,719N 12,525E
Suunta: 302,3°
Kallistuskulma: 52,6°
Tulonopeus: 36,9 km/s
Radiantin R,A,: 07:32 (113,1°)
Radiantin Dekl,: 31,4°
Meteoriparvi: Geminidit
Meteoroidin rataelementit:
Perihelietäisyys: 0,138 AU
Eksentrisyys: 0,905
Inklinaatio: 21,9°
Nousevan solmun pituus: 262,6°
Perihelin argumentti: 324,0°
Keskianomalia: 339,5°
Epookki: 2022 DEC 14 22:36:53
orbit plot

Ei-interaktiivinen kuvaaja | Interaktiivinen kuvaaja

position vs time
speed and acceleration