🇳🇴 🇬🇧 🇩🇪 🇨🇿 🇫🇮

Meteor, poloha: Risør 2022-12-15 00:31:48 UTC

Soubor KML  |  InteraktivnĂ­ mapa

Mapa zobrazuje dráhy meteoru. Světlejší čáry ukazují směry od pozorovacích stanic při objevení se meteoru a tmavší čáry, kde byl naposledy viděn. Modrá šipka značí viditelnou dráhu meteoru.

static map
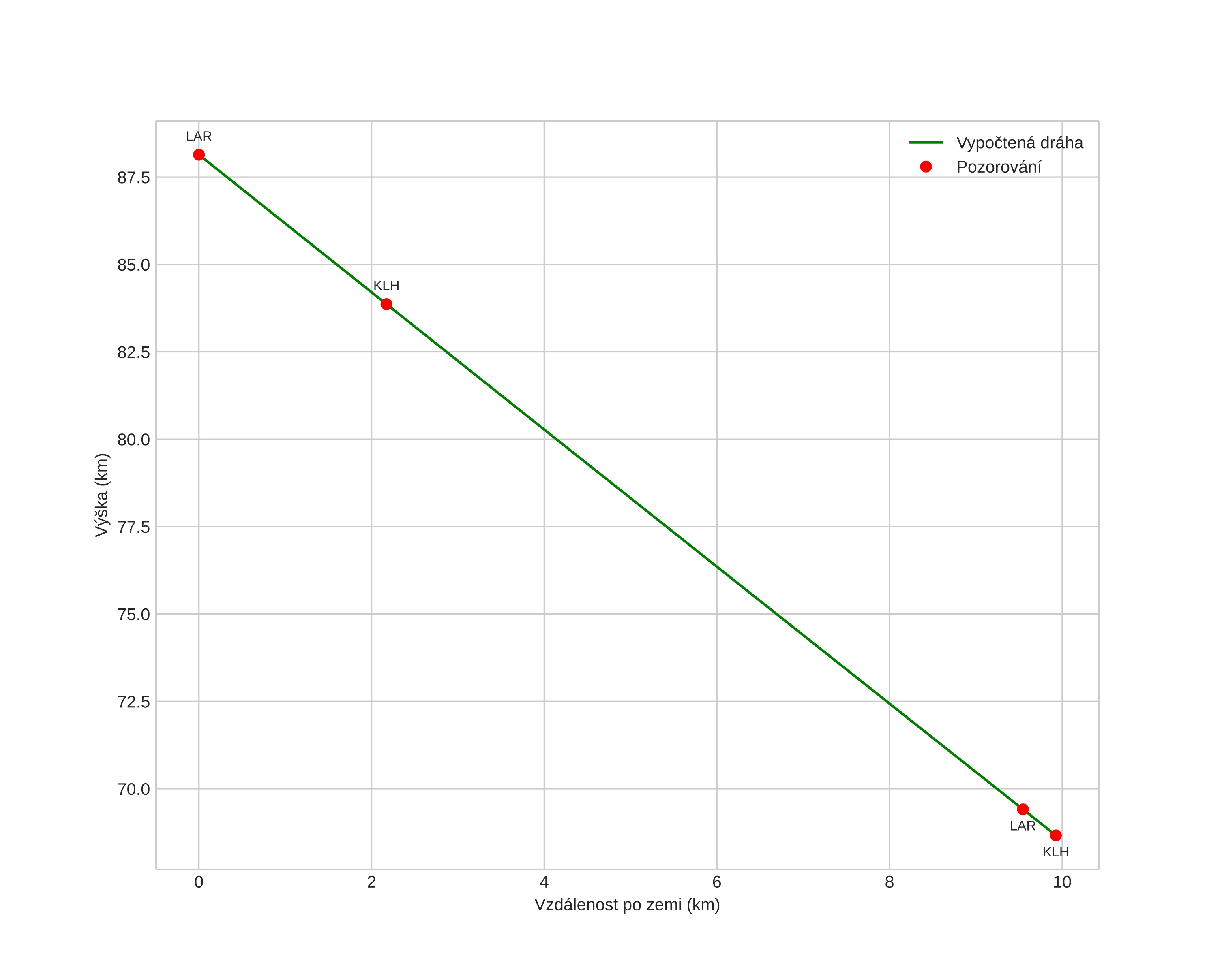
height profile
Atmosférická dráha meteoru:
Počáteční výška: 87,8 km
Konečná výška: 68,6 km
Počáteční poloha: 58,349N 9,418E
Konečná poloha: 58,429N 9,346E
Směr: 334,9°
Sklon: 62,9°
VstupnĂ­ rychlost: 37,4 km/s
Rektascenze radiantu: 07:34 (113,6°)
Deklinace radiantu: 32,1°
MeteorickĂ˝ roj: Geminidy
Elementy dráhy meteoroidu:
Vzdálenost v periheliu: 0,137 AU
Excentricita: 0,910
Sklon dráhy: 24,5°
Délka vzestupného uzlu: 262,7°
Argument perihelia: 323,8°
Střední anomálie: 341,0°
Epocha: 2022 DEC 15 00:31:48
orbit plot

NeinteraktivnĂ­ graf | InteraktivnĂ­ graf

position vs time
speed and acceleration