🇳🇴 🇬🇧 🇩🇪 🇨🇿 🇫🇮

Meteor, poloha: SkĂĄlevik 2022-12-15 01:43:53 UTC

Soubor KML  |  InteraktivnĂ­ mapa

Mapa zobrazuje dráhy meteoru. Světlejší čáry ukazují směry od pozorovacích stanic při objevení se meteoru a tmavší čáry, kde byl naposledy viděn. Modrá šipka značí viditelnou dráhu meteoru.

static map
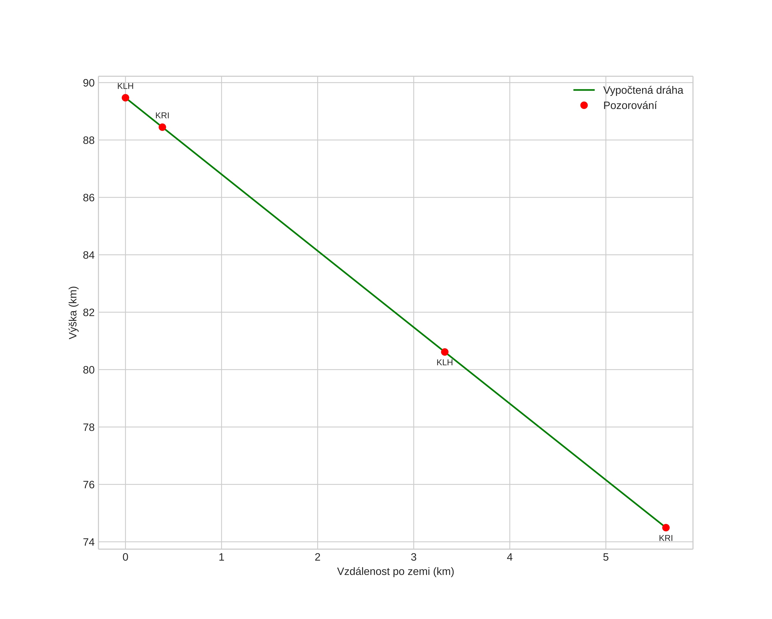
height profile
Atmosférická dráha meteoru:
Počáteční výška: 89,5 km
Konečná výška: 74,5 km
Počáteční poloha: 57,585N 8,161E
Konečná poloha: 57,632N 8,197E
Směr: 22,2°
Sklon: 69,4°
VstupnĂ­ rychlost: 23,2 km/s
Rektascenze radiantu: 07:05 (106,5°)
Deklinace radiantu: 36,5°
MeteorickĂ˝ roj: sporadickĂ˝
Elementy dráhy meteoroidu:
Vzdálenost v periheliu: 0,380 AU
Excentricita: 0,618
Sklon dráhy: 11,9°
Délka vzestupného uzlu: 262,7°
Argument perihelia: 307,4°
Střední anomálie: 306,4°
Epocha: 2022 DEC 15 01:43:53
orbit plot

NeinteraktivnĂ­ graf | InteraktivnĂ­ graf

position vs time
speed and acceleration