🇳🇴 🇬🇧 🇩🇪 🇨🇿 🇫🇮

Meteor, poloha: Lillesand 2022-12-15 02:46:05 UTC

Soubor KML  |  InteraktivnĂ­ mapa

Mapa zobrazuje dráhy meteoru. Světlejší čáry ukazují směry od pozorovacích stanic při objevení se meteoru a tmavší čáry, kde byl naposledy viděn. Modrá šipka značí viditelnou dráhu meteoru.

static map
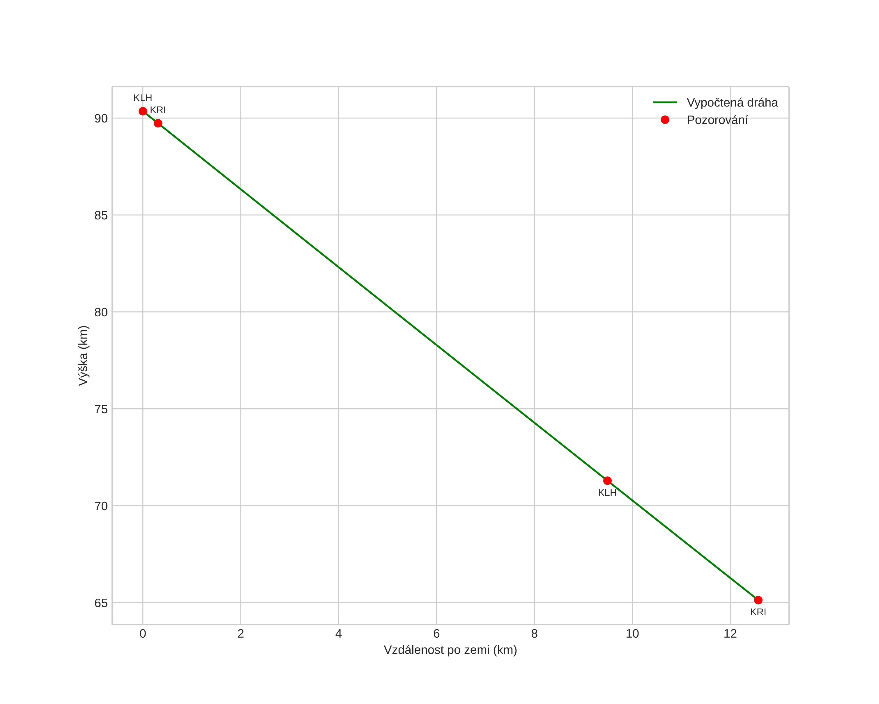
height profile
Atmosférická dráha meteoru:
Počáteční výška: 90,4 km
Konečná výška: 65,1 km
Počáteční poloha: 57,597N 8,365E
Konečná poloha: 57,698N 8,457E
Směr: 25,8°
Sklon: 63,6°
VstupnĂ­ rychlost: 42,8 km/s
Rektascenze radiantu: 07:57 (119,3°)
Deklinace radiantu: 32,2°
MeteorickĂ˝ roj: sporadickĂ˝
Elementy dráhy meteoroidu:
Vzdálenost v periheliu: 0,078 AU
Excentricita: 0,958
Sklon dráhy: 43,3°
Délka vzestupného uzlu: 262,8°
Argument perihelia: 331,8°
Střední anomálie: 347,4°
Epocha: 2022 DEC 15 02:46:05
orbit plot

NeinteraktivnĂ­ graf | InteraktivnĂ­ graf

position vs time
speed and acceleration