🇳🇴 🇬🇧 🇩🇪 🇨🇿 🇫🇮

Meteor, poloha: Fjerritslev 2022-12-15 04:13:53 UTC

Soubor KML  |  InteraktivnĂ­ mapa

Mapa zobrazuje dráhy meteoru. Světlejší čáry ukazují směry od pozorovacích stanic při objevení se meteoru a tmavší čáry, kde byl naposledy viděn. Modrá šipka značí viditelnou dráhu meteoru.

static map
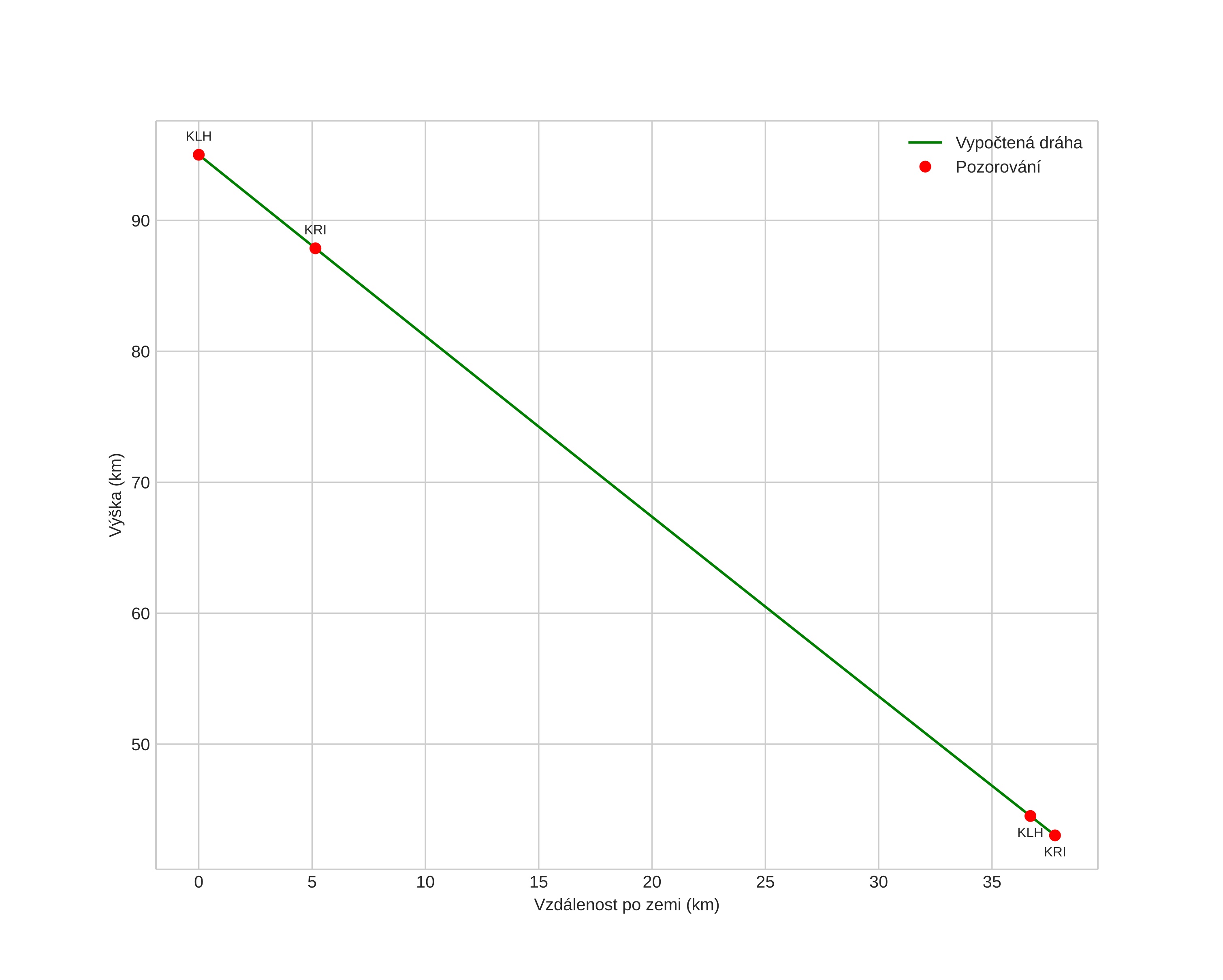
height profile
Atmosférická dráha meteoru:
Počáteční výška: 95,0 km
Konečná výška: 43,0 km
Počáteční poloha: 57,456N 8,464E
Konečná poloha: 57,593N 9,043E
Směr: 65,9°
Sklon: 54,0°
VstupnĂ­ rychlost: 35,0 km/s
Rektascenze radiantu: 07:37 (114,3°)
Deklinace radiantu: 32,5°
MeteorickĂ˝ roj: Geminidy
Elementy dráhy meteoroidu:
Vzdálenost v periheliu: 0,153 AU
Excentricita: 0,880
Sklon dráhy: 22,7°
Délka vzestupného uzlu: 262,8°
Argument perihelia: 323,5°
Střední anomálie: 334,0°
Epocha: 2022 DEC 15 04:13:53
orbit plot

NeinteraktivnĂ­ graf | InteraktivnĂ­ graf

position vs time
speed and acceleration