🇳🇴 🇬🇧 🇩🇪 🇨🇿 🇫🇮

Meteor, poloha: Fjerritslev 2022-12-15 04:13:54 UTC

Soubor KML

Mapa zobrazuje dráhy meteoru. Světlejší čáry ukazují směry od pozorovacích stanic při objevení se meteoru a tmavší čáry, kde byl naposledy viděn. Modrá šipka značí viditelnou dráhu meteoru.

static map
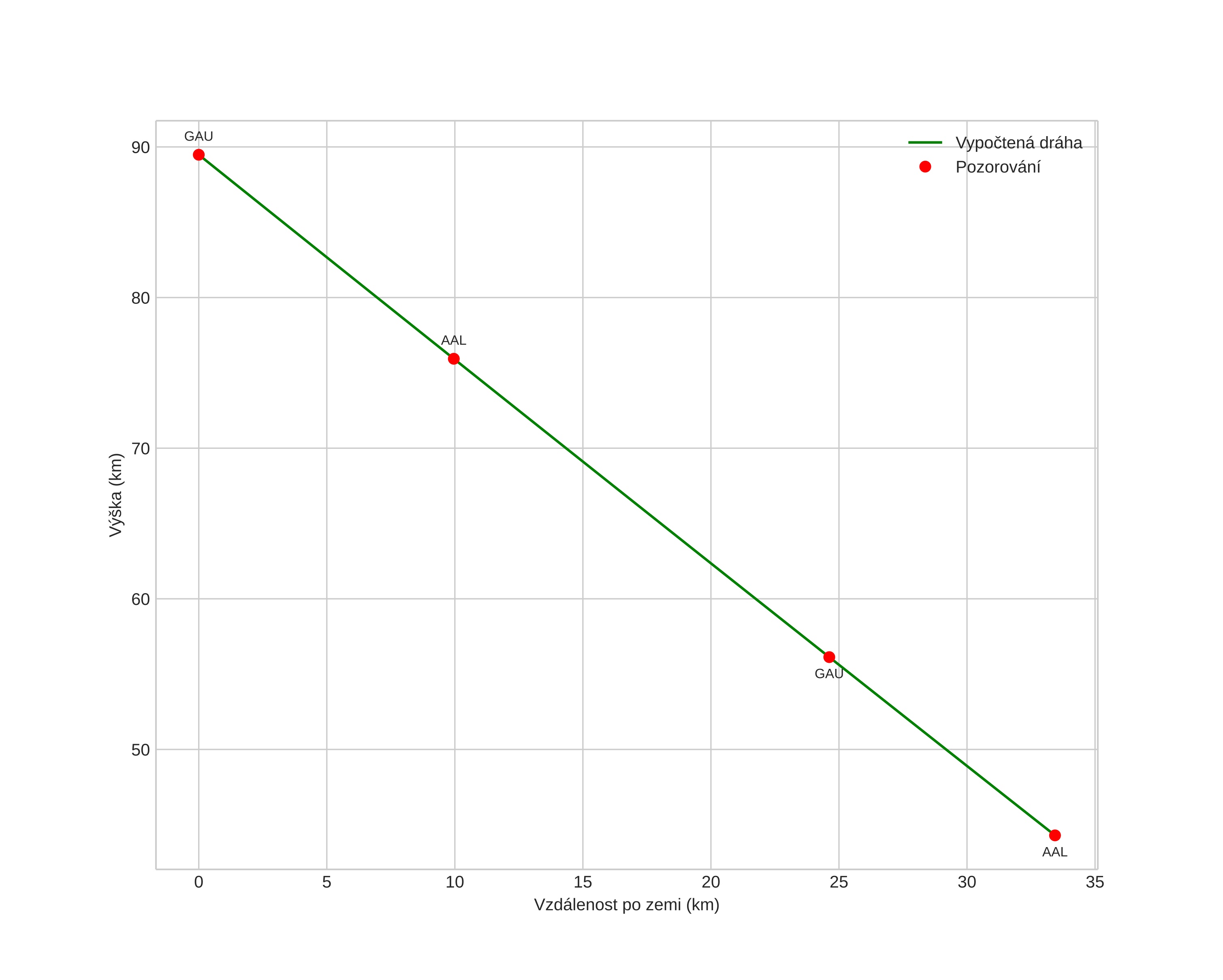
height profile
Atmosférická dráha meteoru:
Počáteční výška: 89,5 km
Konečná výška: 44,3 km
Počáteční poloha: 57,548N 8,499E
Konečná poloha: 57,527N 9,058E
Směr: 93,8°
Sklon: 53,5°
Vstupní rychlost: 33,6 km/s
Rektascenze radiantu: 06:31 (97,8°)
Deklinace radiantu: 43,3°
Meteorický roj: sporadický
Elementy dráhy meteoroidu:
Vzdálenost v periheliu: 0,388 AU
Excentricita: 0,880
Sklon dráhy: 25,1°
Délka vzestupného uzlu: 262,8°
Argument perihelia: 287,2°
Střední anomálie: 353,1°
Epocha: 2022 DEC 15 04:13:54
orbit plot

Neinteraktivní graf

position vs time
speed and acceleration