🇳🇴 🇬🇧 🇩🇪 🇨🇿 🇫🇮

Meteor, poloha: Lyngseidet 2022-12-15 04:26:24 UTC

Soubor KML  |  InteraktivnĂ­ mapa

Mapa zobrazuje dráhy meteoru. Světlejší čáry ukazují směry od pozorovacích stanic při objevení se meteoru a tmavší čáry, kde byl naposledy viděn. Modrá šipka značí viditelnou dráhu meteoru.

static map
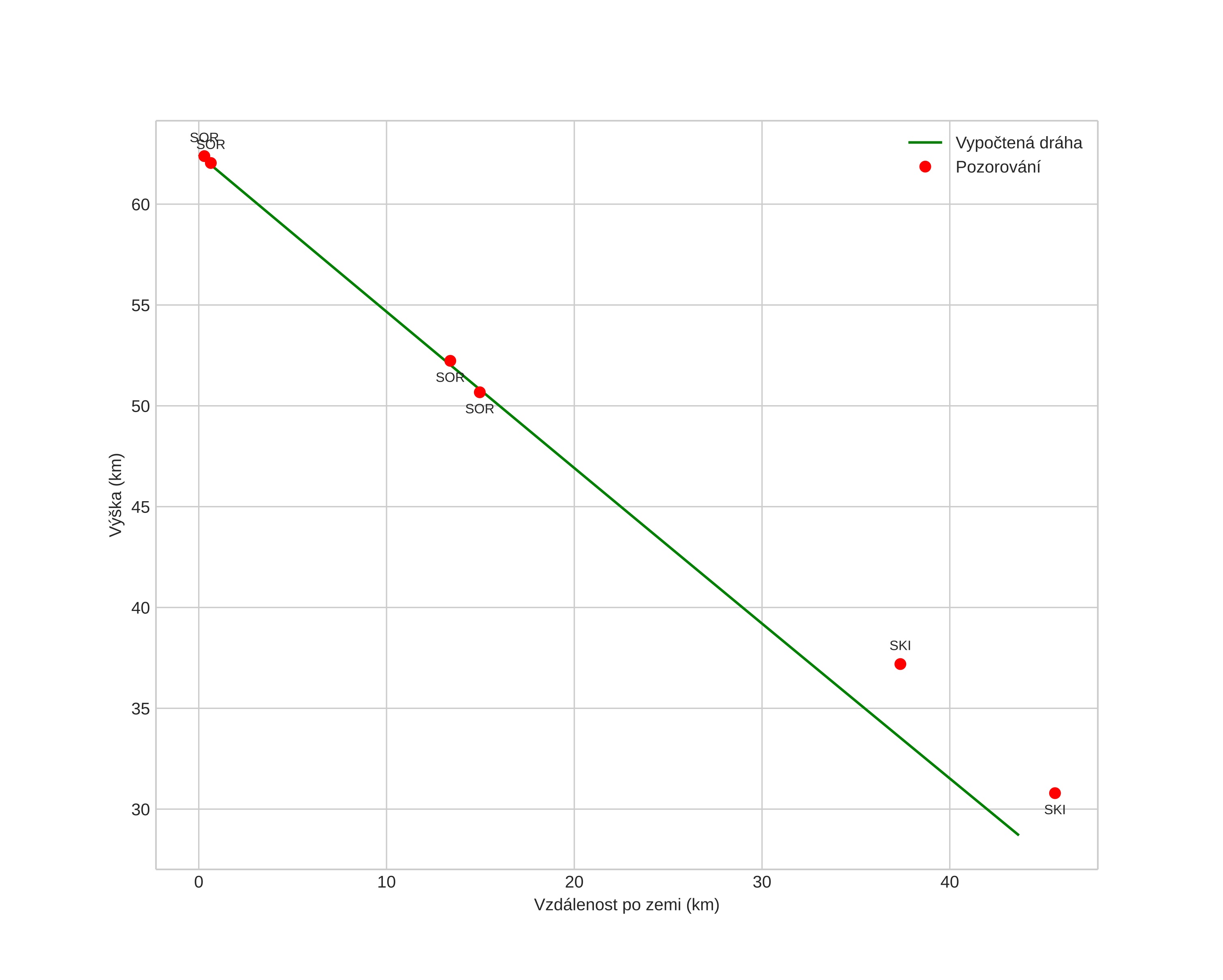
height profile
Atmosférická dráha meteoru:
Počáteční výška: 62,4 km
Konečná výška: 29,2 km
Počáteční poloha: 69,080N 19,352E
Konečná poloha: 69,195N 20,406E
Směr: 72,5°
Sklon: 37,2°
VstupnĂ­ rychlost: 25,1 km/s
Rektascenze radiantu: 07:11 (107,9°)
Deklinace radiantu: 25,7°
MeteorickĂ˝ roj: sporadickĂ˝
Elementy dráhy meteoroidu:
Vzdálenost v periheliu: 0,292 AU
Excentricita: 0,701
Sklon dráhy: 3,5°
Délka vzestupného uzlu: 262,8°
Argument perihelia: 315,0°
Střední anomálie: 309,6°
Epocha: 2022 DEC 15 04:26:24
orbit plot

NeinteraktivnĂ­ graf | InteraktivnĂ­ graf

position vs time
speed and acceleration