🇳🇴 🇬🇧 🇩🇪 🇨🇿 🇫🇮

Meteor, poloha: SkĂĄlevik 2022-12-15 22:06:00 UTC

Soubor KML  |  InteraktivnĂ­ mapa

Mapa zobrazuje dráhy meteoru. Světlejší čáry ukazují směry od pozorovacích stanic při objevení se meteoru a tmavší čáry, kde byl naposledy viděn. Modrá šipka značí viditelnou dráhu meteoru.

static map
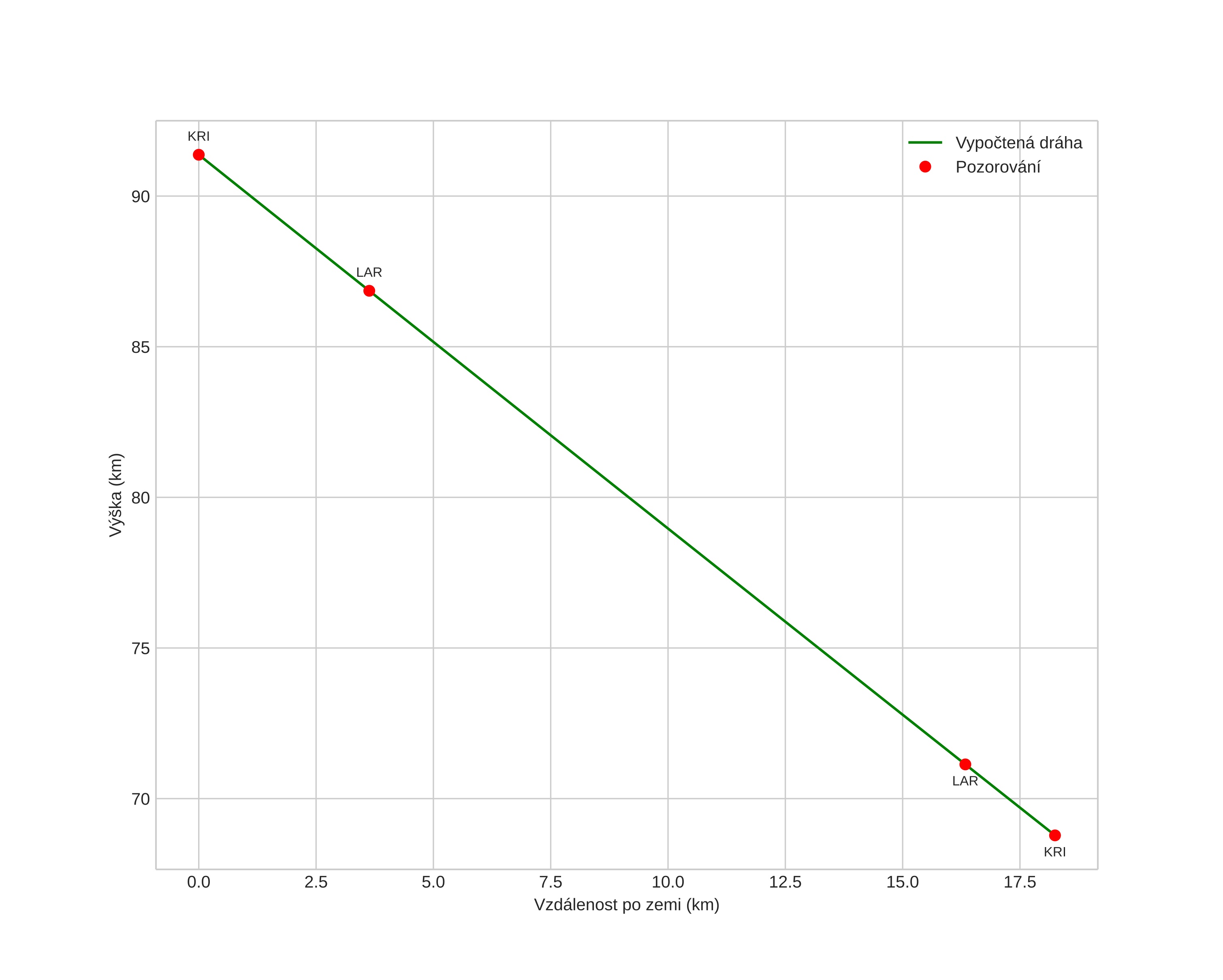
height profile
Atmosférická dráha meteoru:
Počáteční výška: 92,3 km
Konečná výška: 69,4 km
Počáteční poloha: 57,956N 8,478E
Konečná poloha: 58,050N 8,222E
Směr: 304,9°
Sklon: 51,3°
VstupnĂ­ rychlost: 36,0 km/s
Rektascenze radiantu: 06:39 (99,8°)
Deklinace radiantu: 27,3°
MeteorickĂ˝ roj: sporadickĂ˝
Elementy dráhy meteoroidu:
Vzdálenost v periheliu: 0,262 AU
Excentricita: 0,926
Sklon dráhy: 6,5°
Délka vzestupného uzlu: 263,6°
Argument perihelia: 301,7°
Střední anomálie: 354,5°
Epocha: 2022 DEC 15 22:06:00
orbit plot

NeinteraktivnĂ­ graf | InteraktivnĂ­ graf

position vs time
speed and acceleration