🇳🇴 🇬🇧 🇩🇪 🇨🇿 🇫🇮

Meteor, poloha: Naustdal 2022-12-15 22:39:00 UTC

Soubor KML  |  InteraktivnĂ­ mapa

Mapa zobrazuje dráhy meteoru. Světlejší čáry ukazují směry od pozorovacích stanic při objevení se meteoru a tmavší čáry, kde byl naposledy viděn. Modrá šipka značí viditelnou dráhu meteoru.

static map
height profile
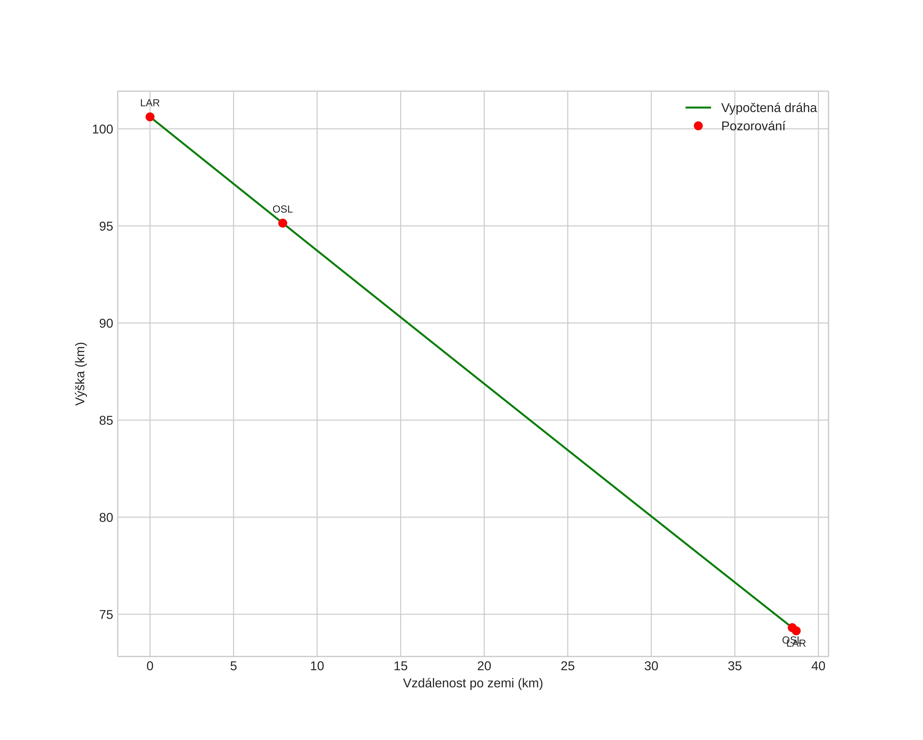
Atmosférická dráha meteoru:
Počáteční výška: 100,2 km
Konečná výška: 73,1 km
Počáteční poloha: 61,037N 6,102E
Konečná poloha: 61,311N 5,625E
Směr: 320,3°
Sklon: 34,2°
VstupnĂ­ rychlost: 42,1 km/s
Rektascenze radiantu: 06:50 (102,6°)
Deklinace radiantu: 9,6°
MeteorickĂ˝ roj: Monocerotidy
Elementy dráhy meteoroidu:
Vzdálenost v periheliu: 0,212 AU
Excentricita: 0,995
Sklon dráhy: 28,2°
Délka vzestupného uzlu: 83,6°
Argument perihelia: 124,9°
Střední anomálie: 359,9°
Epocha: 2022 DEC 15 22:39:00
orbit plot

NeinteraktivnĂ­ graf | InteraktivnĂ­ graf

position vs time
speed and acceleration