🇳🇴 🇬🇧 🇩🇪 🇨🇿 🇫🇮

Meteor, poloha: Utsira 2022-12-23 20:02:33 UTC

Soubor KML  |  InteraktivnĂ­ mapa

Mapa zobrazuje dráhy meteoru. Světlejší čáry ukazují směry od pozorovacích stanic při objevení se meteoru a tmavší čáry, kde byl naposledy viděn. Modrá šipka značí viditelnou dráhu meteoru.

static map
height profile
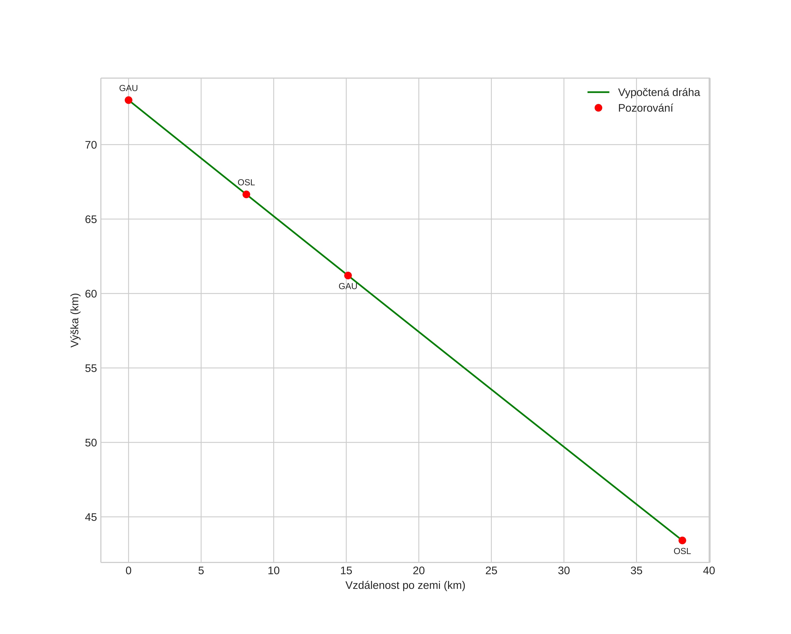
Atmosférická dráha meteoru:
Počáteční výška: 73,5 km
Konečná výška: 43,4 km
Počáteční poloha: 57,781N 2,613E
Konečná poloha: 58,134N 2,734E
Směr: 10,2°
Sklon: 37,0°
VstupnĂ­ rychlost: 21,5 km/s
Rektascenze radiantu: 01:43 (26,0°)
Deklinace radiantu: 0,6°
MeteorickĂ˝ roj: sporadickĂ˝
Elementy dráhy meteoroidu:
Vzdálenost v periheliu: 0,966 AU
Excentricita: 1,515
Sklon dráhy: 3,7°
Délka vzestupného uzlu: 91,7°
Argument perihelia: 14,2°
Střední anomálie: -3,4°
Epocha: 2022 DEC 23 20:02:33
orbit plot

NeinteraktivnĂ­ graf | InteraktivnĂ­ graf

position vs time
speed and acceleration

Gaustatoppen (GAU) cam5


gnomonic
Videa
• Gnomonická
• Gnomonická se souřadnicemi
• Původní
• Původní se souřadnicemi
Obrázky
• Gnomonická
• Gnomonická se souřadnicemi
• Gnomonická s popisky
• Původní
• Původní se souřadnicemi
Textové soubory
• Detekce
• Pozorování
• Souřadnice
• Chybová hlášení
• Protokol
Jasnost