🇳🇴 🇬🇧 🇩🇪 🇨🇿 🇫🇮

Meteor, poloha: Hirtshals 2022-12-24 04:07:18 UTC

Soubor KML

Mapa zobrazuje dráhy meteoru. Světlejší čáry ukazují směry od pozorovacích stanic při objevení se meteoru a tmavší čáry, kde byl naposledy viděn. Modrá šipka značí viditelnou dráhu meteoru.

static map
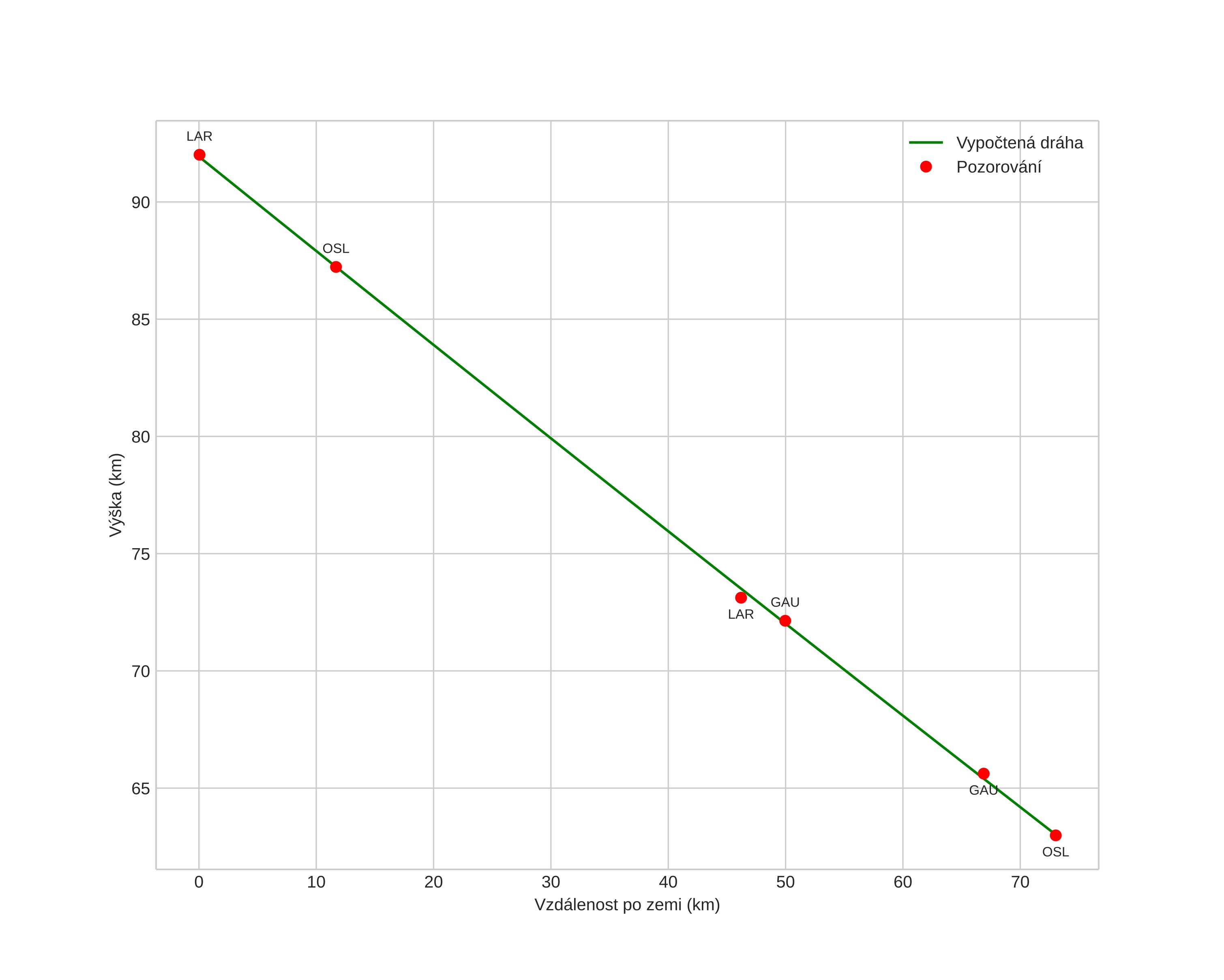
height profile
Atmosférická dráha meteoru:
Počáteční výška: 91,9 km
Konečná výška: 63,0 km
Počáteční poloha: 57,989N 8,719E
Konečná poloha: 57,953N 9,955E
Směr: 92,6°
Sklon: 21,6°
VstupnĂ­ rychlost: 19,9 km/s
Rektascenze radiantu: 05:13 (78,4°)
Deklinace radiantu: 13,4°
MeteorickĂ˝ roj: sporadickĂ˝
Elementy dráhy meteoroidu:
Vzdálenost v periheliu: 0,759 AU
Excentricita: 0,685
Sklon dráhy: 4,7°
Délka vzestupného uzlu: 92,0°
Argument perihelia: 63,9°
Střední anomálie: 349,6°
Epocha: 2022 DEC 24 04:07:18
orbit plot

NeinteraktivnĂ­ graf

position vs time
speed and acceleration