🇳🇴 🇬🇧 🇩🇪 🇨🇿 🇫🇮

Meteor, poloha: Färgelanda 2022-12-24 21:41:24 UTC

Soubor KML  |  InteraktivnĂ­ mapa

Mapa zobrazuje dráhy meteoru. Světlejší čáry ukazují směry od pozorovacích stanic při objevení se meteoru a tmavší čáry, kde byl naposledy viděn. Modrá šipka značí viditelnou dráhu meteoru.

static map
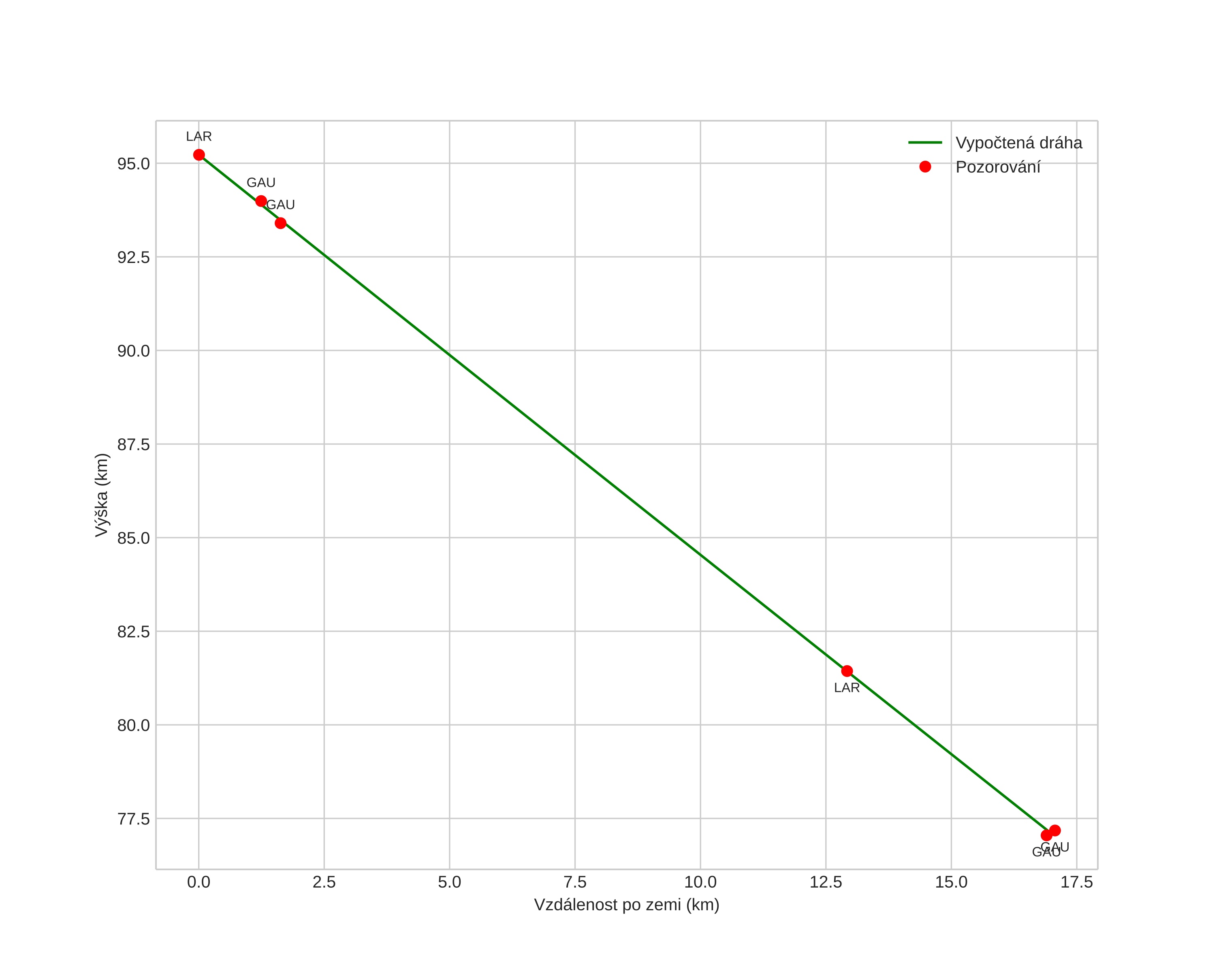
height profile
Atmosférická dráha meteoru:
Počáteční výška: 93,5 km
Konečná výška: 72,0 km
Počáteční poloha: 58,835N 11,934E
Konečná poloha: 58,702N 12,115E
Směr: 144,7°
Sklon: 50,0°
VstupnĂ­ rychlost: 19,8 km/s
Rektascenze radiantu: 21:42 (325,5°)
Deklinace radiantu: 64,7°
MeteorickĂ˝ roj: sporadickĂ˝
Elementy dráhy meteoroidu:
Vzdálenost v periheliu: 0,980 AU
Excentricita: 0,721
Sklon dráhy: 22,9°
Délka vzestupného uzlu: 272,7°
Argument perihelia: 187,2°
Střední anomálie: 359,2°
Epocha: 2022 DEC 24 21:41:24
orbit plot

NeinteraktivnĂ­ graf | InteraktivnĂ­ graf

position vs time
speed and acceleration