🇳🇴 🇬🇧 🇩🇪 🇨🇿 🇫🇮

Meteor, poloha: Alfta 2023-01-03 06:15:02 UTC

Soubor KML  |  InteraktivnĂ­ mapa

Mapa zobrazuje dráhy meteoru. Světlejší čáry ukazují směry od pozorovacích stanic při objevení se meteoru a tmavší čáry, kde byl naposledy viděn. Modrá šipka značí viditelnou dráhu meteoru.

static map
height profile
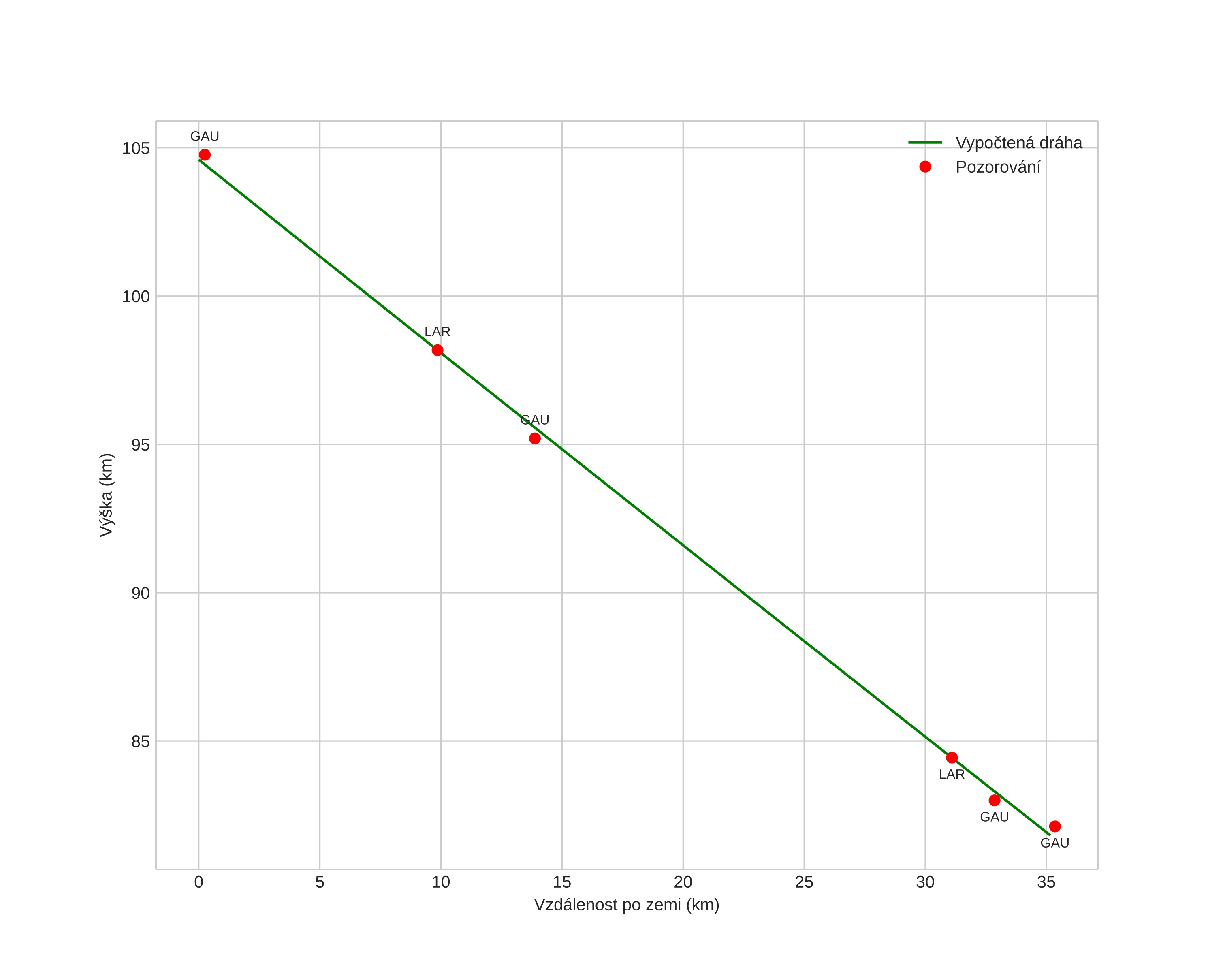
Atmosférická dráha meteoru:
Počáteční výška: 104,4 km
Konečná výška: 81,2 km
Počáteční poloha: 61,131N 15,481E
Konečná poloha: 61,030N 16,108E
Směr: 108,2°
Sklon: 33,1°
VstupnĂ­ rychlost: 39,1 km/s
Rektascenze radiantu: 08:12 (123,1°)
Deklinace radiantu: 36,0°
MeteorickĂ˝ roj: sporadickĂ˝
Elementy dráhy meteoroidu:
Vzdálenost v periheliu: 0,296 AU
Excentricita: 0,987
Sklon dráhy: 25,9°
Délka vzestupného uzlu: 282,3°
Argument perihelia: 294,0°
Střední anomálie: 359,7°
Epocha: 2023 JAN 03 06:15:02
orbit plot

NeinteraktivnĂ­ graf | InteraktivnĂ­ graf

position vs time
speed and acceleration