🇳🇴 🇬🇧 🇩🇪 🇨🇿 🇫🇮

Meteor, poloha: Kautokeino 2023-01-04 07:24:04 UTC

Soubor KML  |  InteraktivnĂ­ mapa

Mapa zobrazuje dráhy meteoru. Světlejší čáry ukazují směry od pozorovacích stanic při objevení se meteoru a tmavší čáry, kde byl naposledy viděn. Modrá šipka značí viditelnou dráhu meteoru.

static map
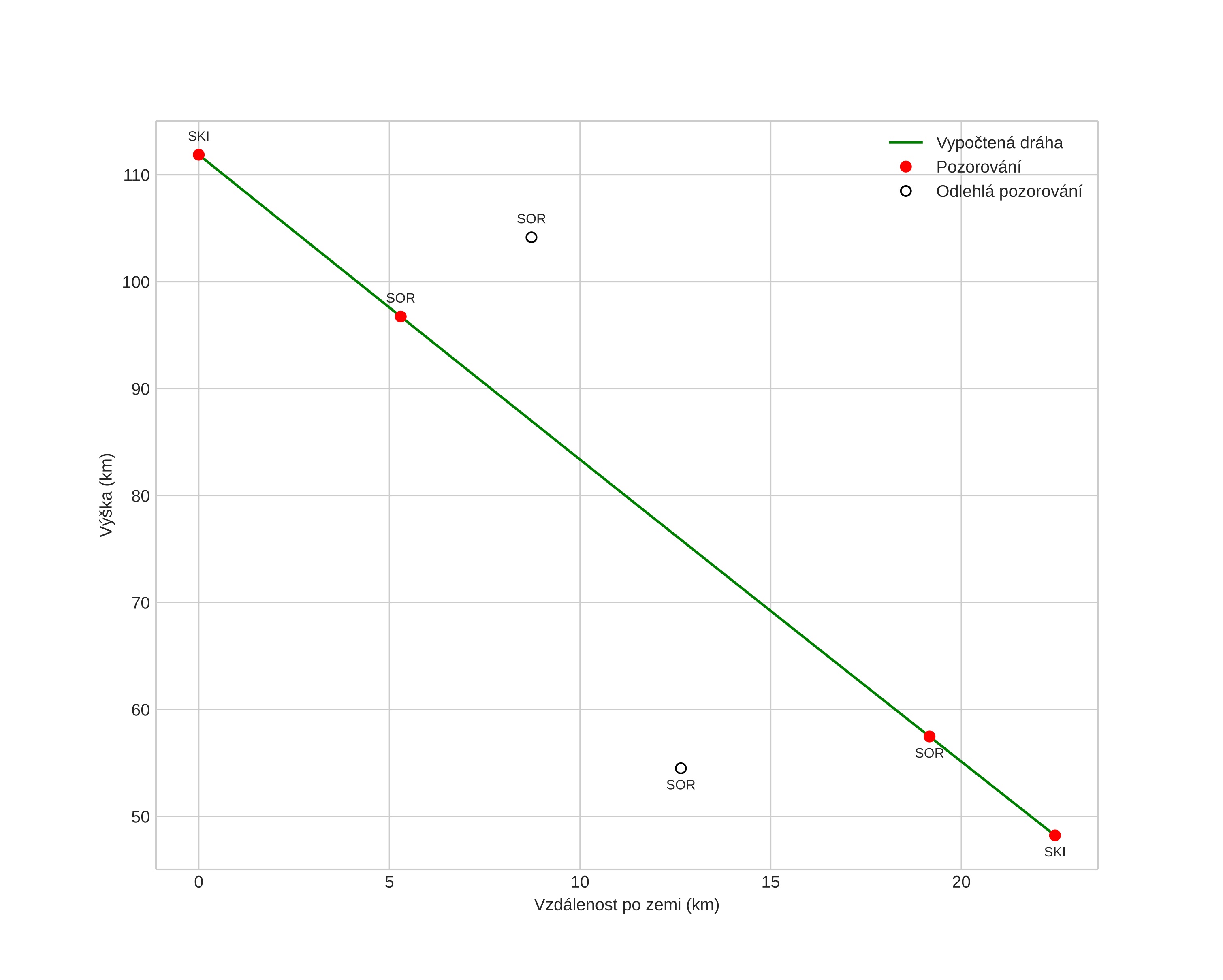
height profile
Atmosférická dráha meteoru:
Počáteční výška: 111,9 km
Konečná výška: 48,2 km
Počáteční poloha: 67,924N 21,831E
Konečná poloha: 68,126N 21,869E
Směr: 3,9°
Sklon: 70,6°
VstupnĂ­ rychlost: 42,5 km/s
Rektascenze radiantu: 15:35 (233,9°)
Deklinace radiantu: 48,1°
MeteorickĂ˝ roj: Kvadrantidy
Elementy dráhy meteoroidu:
Vzdálenost v periheliu: 0,970 AU
Excentricita: 0,709
Sklon dráhy: 71,0°
Délka vzestupného uzlu: 283,3°
Argument perihelia: 165,2°
Střední anomálie: 1,8°
Epocha: 2023 JAN 04 07:24:04
orbit plot

NeinteraktivnĂ­ graf | InteraktivnĂ­ graf

position vs time
speed and acceleration