🇳🇴 🇬🇧 🇩🇪 🇨🇿 🇫🇮

Meteor, poloha: Jevnaker 2023-01-22 06:31:24 UTC

Soubor KML  |  InteraktivnĂ­ mapa

Mapa zobrazuje dráhy meteoru. Světlejší čáry ukazují směry od pozorovacích stanic při objevení se meteoru a tmavší čáry, kde byl naposledy viděn. Modrá šipka značí viditelnou dráhu meteoru.

static map
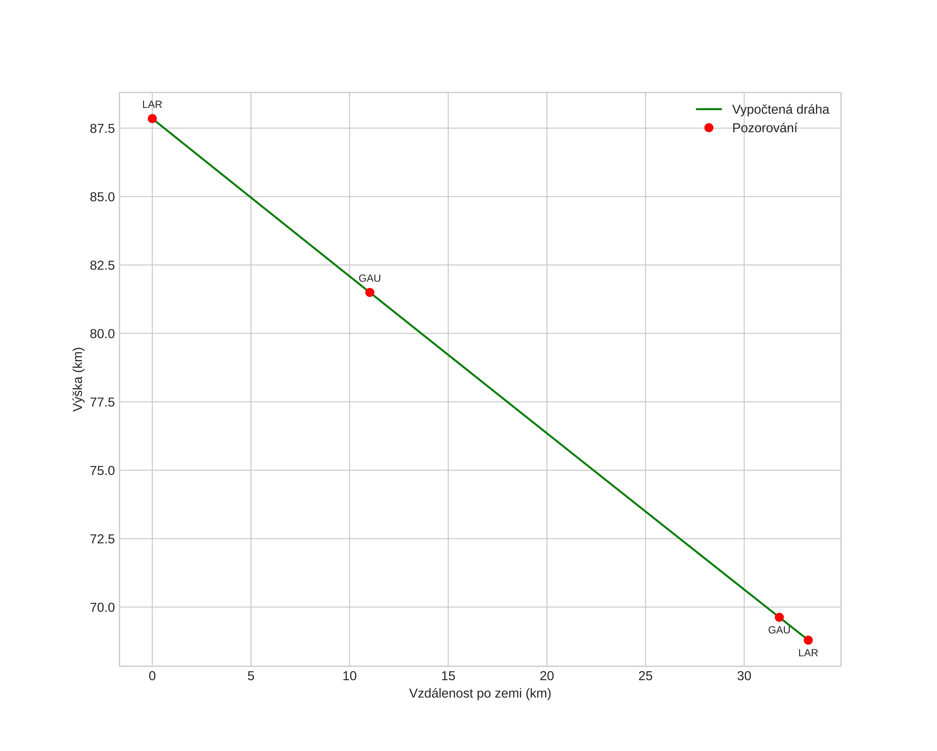
height profile
Atmosférická dráha meteoru:
Počáteční výška: 85,5 km
Konečná výška: 68,1 km
Počáteční poloha: 60,401N 10,191E
Konečná poloha: 60,156N 10,448E
Směr: 152,4°
Sklon: 29,5°
VstupnĂ­ rychlost: 18,1 km/s
Rektascenze radiantu: 05:54 (88,7°)
Deklinace radiantu: 46,4°
MeteorickĂ˝ roj: sporadickĂ˝
Elementy dráhy meteoroidu:
Vzdálenost v periheliu: 0,894 AU
Excentricita: 0,748
Sklon dráhy: 8,5°
Délka vzestupného uzlu: 301,6°
Argument perihelia: 218,2°
Střední anomálie: 356,1°
Epocha: 2023 JAN 22 06:31:24
orbit plot

NeinteraktivnĂ­ graf | InteraktivnĂ­ graf

position vs time
speed and acceleration