🇳🇴 🇬🇧 🇩🇪 🇨🇿 🇫🇮

Meteor, poloha: Skagen 2023-01-26 05:04:58 UTC

Soubor KML

Mapa zobrazuje dráhy meteoru. Světlejší čáry ukazují směry od pozorovacích stanic při objevení se meteoru a tmavší čáry, kde byl naposledy viděn. Modrá šipka značí viditelnou dráhu meteoru.

static map
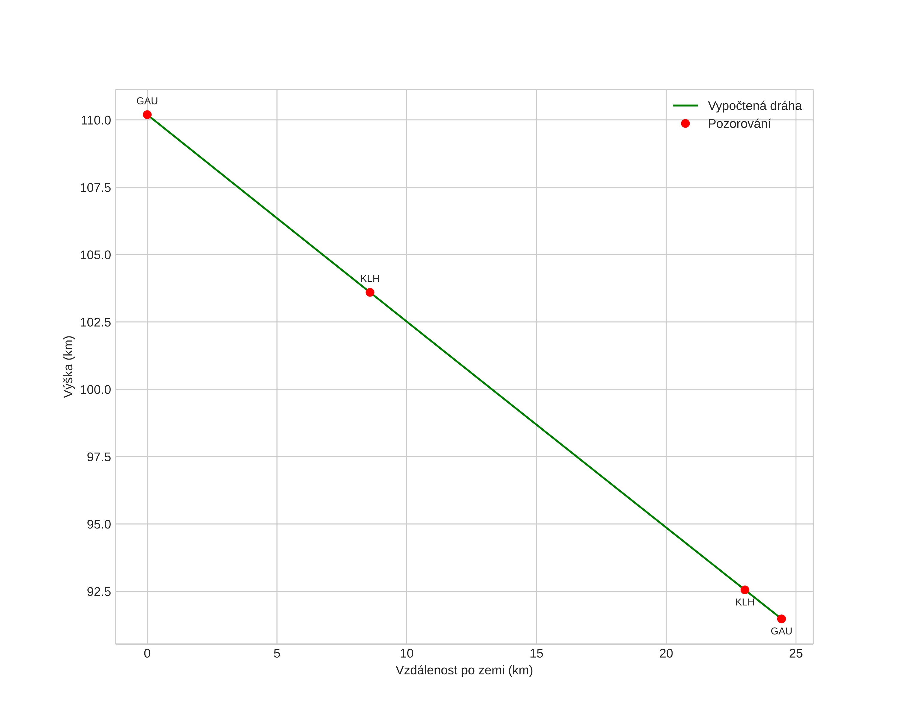
height profile
Atmosférická dráha meteoru:
Počáteční výška: 110,2 km
Konečná výška: 91,5 km
Počáteční poloha: 57,923N 10,572E
Konečná poloha: 58,057N 10,244E
Směr: 307,9°
Sklon: 37,4°
Vstupní rychlost: 57,0 km/s
Rektascenze radiantu: 16:48 (252,1°)
Deklinace radiantu: 14,3°
Meteorický roj: sporadický
Elementy dráhy meteoroidu:
Vzdálenost v periheliu: 0,643 AU
Excentricita: 0,961
Sklon dráhy: 102,8°
Délka vzestupného uzlu: 305,6°
Argument perihelia: 107,0°
Střední anomálie: 0,5°
Epocha: 2023 JAN 26 05:04:58
orbit plot

Neinteraktivní graf

position vs time
speed and acceleration