🇳🇴 🇬🇧 🇩🇪 🇨🇿 🇫🇮

Meteor, poloha: Tonstad 2023-01-26 22:11:06 UTC

Soubor KML  |  InteraktivnĂ­ mapa

Mapa zobrazuje dráhy meteoru. Světlejší čáry ukazují směry od pozorovacích stanic při objevení se meteoru a tmavší čáry, kde byl naposledy viděn. Modrá šipka značí viditelnou dráhu meteoru.

static map
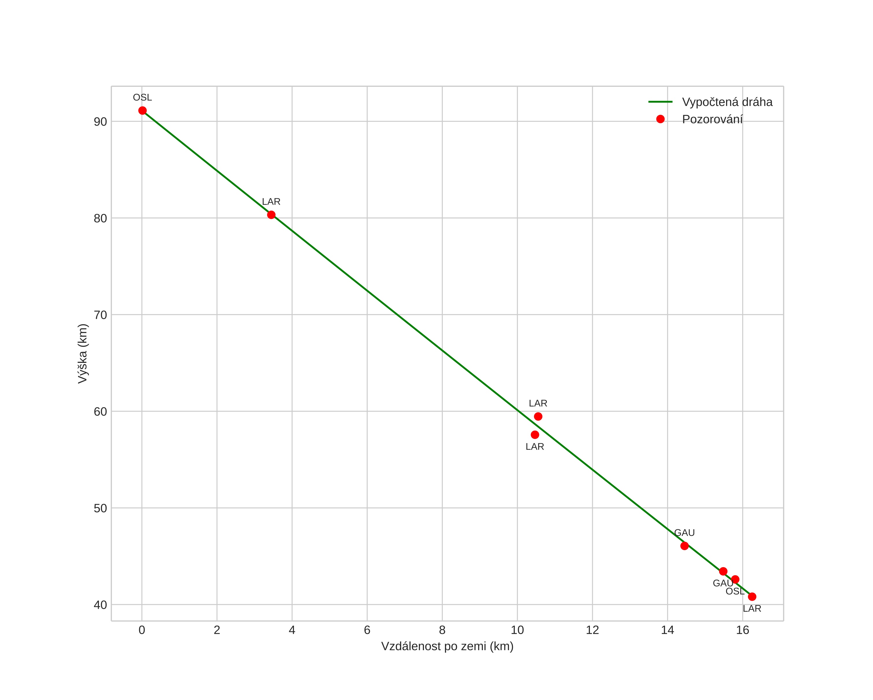
height profile
Atmosférická dráha meteoru:
Počáteční výška: 91,1 km
Konečná výška: 40,8 km
Počáteční poloha: 58,572N 6,901E
Konečná poloha: 58,718N 6,887E
Směr: 357,0°
Sklon: 72,1°
VstupnĂ­ rychlost: 19,5 km/s
Rektascenze radiantu: 07:01 (105,4°)
Deklinace radiantu: 38,8°
MeteorickĂ˝ roj: sporadickĂ˝
Elementy dráhy meteoroidu:
Vzdálenost v periheliu: 0,841 AU
Excentricita: 0,754
Sklon dráhy: 6,9°
Délka vzestupného uzlu: 306,4°
Argument perihelia: 228,6°
Střední anomálie: 355,0°
Epocha: 2023 JAN 26 22:11:06
orbit plot

NeinteraktivnĂ­ graf | InteraktivnĂ­ graf

position vs time
speed and acceleration