🇳🇴 🇬🇧 🇩🇪 🇨🇿 🇫🇮

Meteor, poloha: Vestbygd 2023-02-01 23:28:09 UTC

Soubor KML  |  InteraktivnĂ­ mapa

Mapa zobrazuje dráhy meteoru. Světlejší čáry ukazují směry od pozorovacích stanic při objevení se meteoru a tmavší čáry, kde byl naposledy viděn. Modrá šipka značí viditelnou dráhu meteoru.

static map
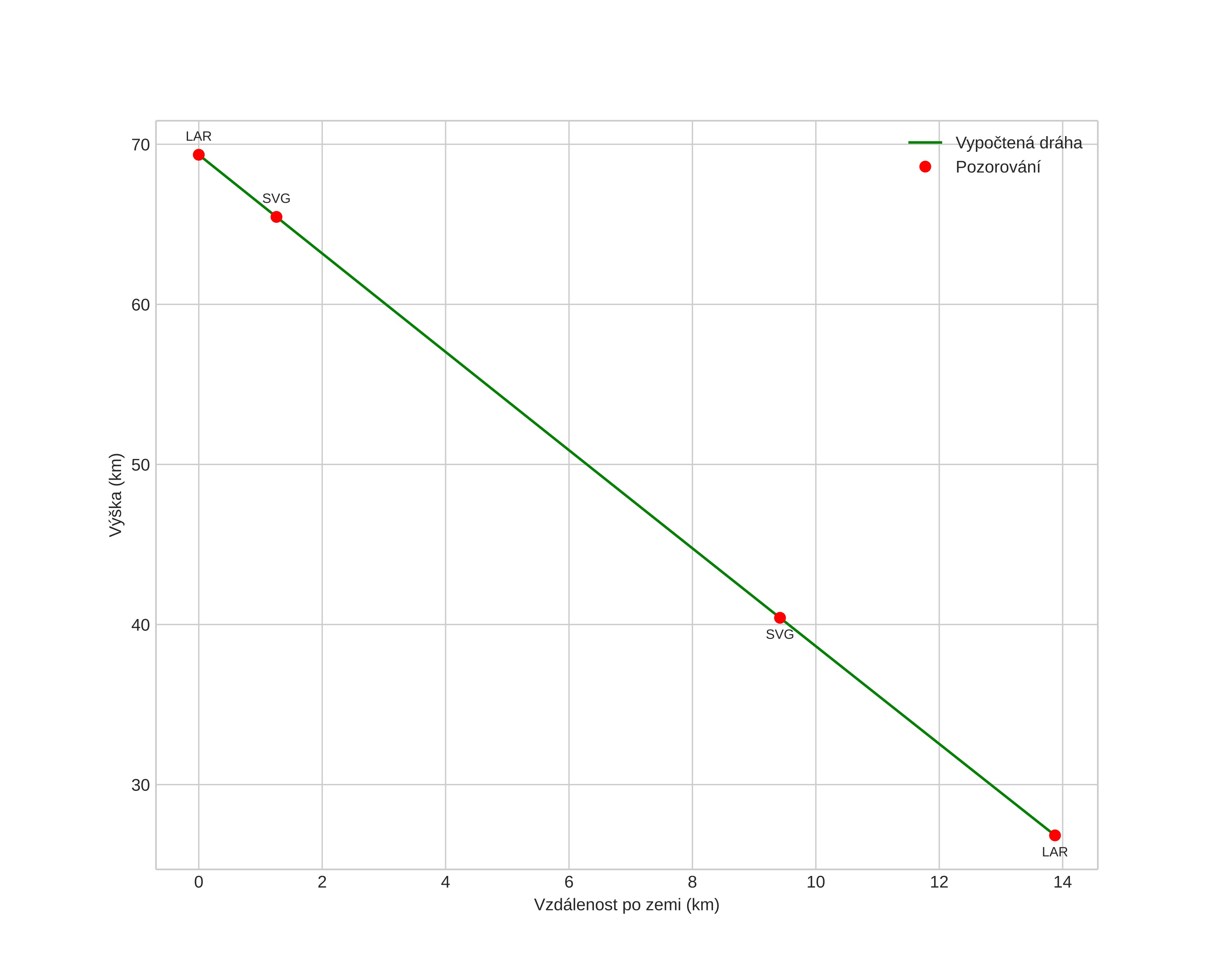
height profile
Atmosférická dráha meteoru:
Počáteční výška: 70,3 km
Konečná výška: 27,8 km
Počáteční poloha: 56,061N 5,700E
Konečná poloha: 56,133N 5,884E
Směr: 54,8°
Sklon: 71,9°
VstupnĂ­ rychlost: 17,6 km/s
Rektascenze radiantu: 07:02 (105,6°)
Deklinace radiantu: 41,3°
MeteorickĂ˝ roj: sporadickĂ˝
Elementy dráhy meteoroidu:
Vzdálenost v periheliu: 0,887 AU
Excentricita: 0,690
Sklon dráhy: 6,8°
Délka vzestupného uzlu: 312,5°
Argument perihelia: 220,9°
Střední anomálie: 354,2°
Epocha: 2023 FEB 01 23:28:09
orbit plot

NeinteraktivnĂ­ graf | InteraktivnĂ­ graf

position vs time
speed and acceleration