🇳🇴 🇬🇧 🇩🇪 🇨🇿 🇫🇮

Meteor, poloha: Hatteng 2023-02-02 20:38:25 UTC

Soubor KML  |  InteraktivnĂ­ mapa

Mapa zobrazuje dráhy meteoru. Světlejší čáry ukazují směry od pozorovacích stanic při objevení se meteoru a tmavší čáry, kde byl naposledy viděn. Modrá šipka značí viditelnou dráhu meteoru.

static map
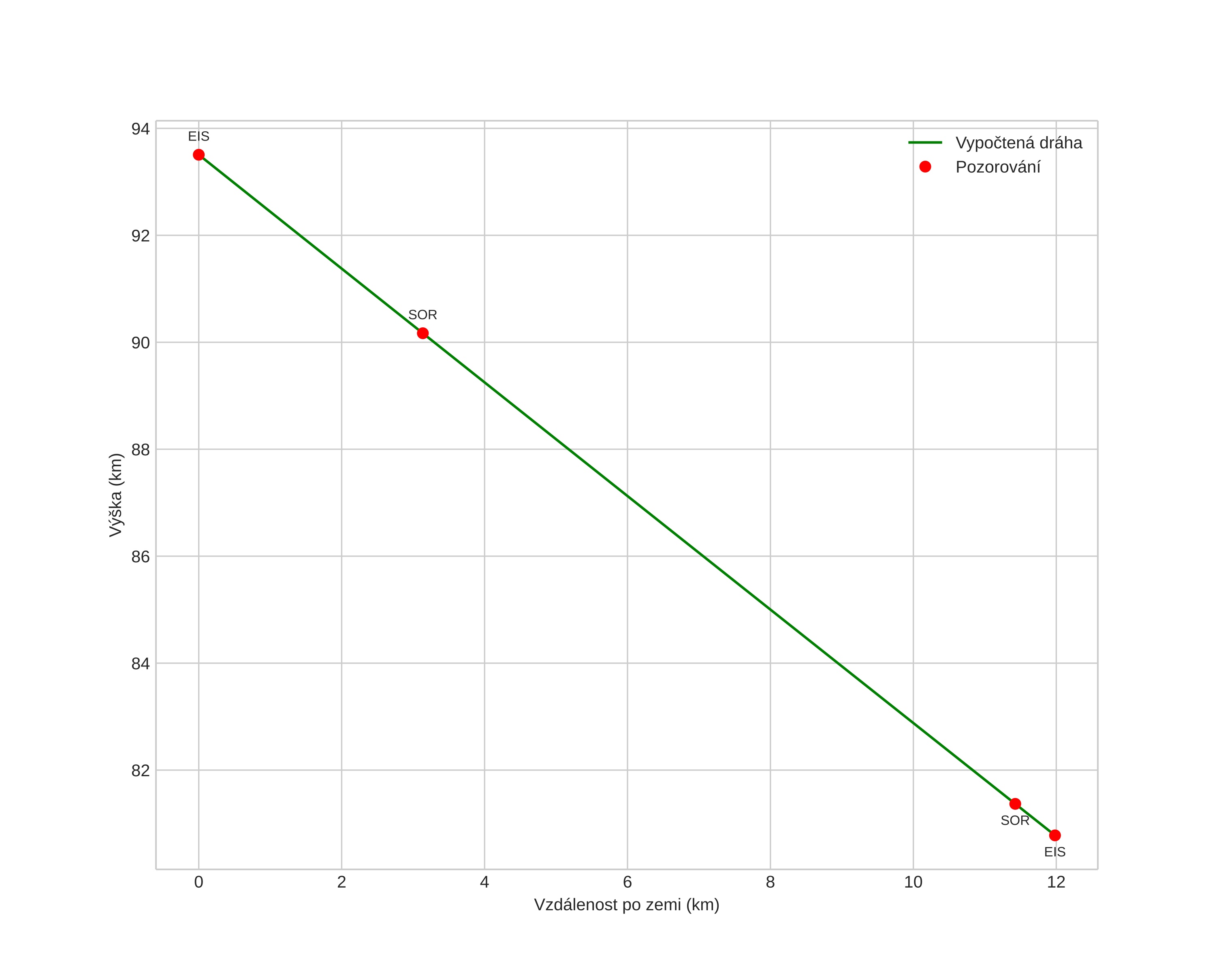
height profile
Atmosférická dráha meteoru:
Počáteční výška: 93,2 km
Konečná výška: 80,8 km
Počáteční poloha: 69,675N 19,729E
Konečná poloha: 69,568N 19,696E
Směr: 186,2°
Sklon: 46,0°
VstupnĂ­ rychlost: 26,8 km/s
Rektascenze radiantu: 18:10 (272,6°)
Deklinace radiantu: 64,1°
MeteorickĂ˝ roj: sporadickĂ˝
Elementy dráhy meteoroidu:
Vzdálenost v periheliu: 0,984 AU
Excentricita: 0,654
Sklon dráhy: 39,3°
Délka vzestupného uzlu: 313,4°
Argument perihelia: 175,0°
Střední anomálie: 0,8°
Epocha: 2023 FEB 02 20:38:25
orbit plot

NeinteraktivnĂ­ graf | InteraktivnĂ­ graf

position vs time
speed and acceleration