🇳🇴 🇬🇧 🇩🇪 🇨🇿 🇫🇮

Meteor, poloha: Myra 2023-02-04 00:38:59 UTC

Soubor KML  |  InteraktivnĂ­ mapa

Mapa zobrazuje dráhy meteoru. Světlejší čáry ukazují směry od pozorovacích stanic při objevení se meteoru a tmavší čáry, kde byl naposledy viděn. Modrá šipka značí viditelnou dráhu meteoru.

static map
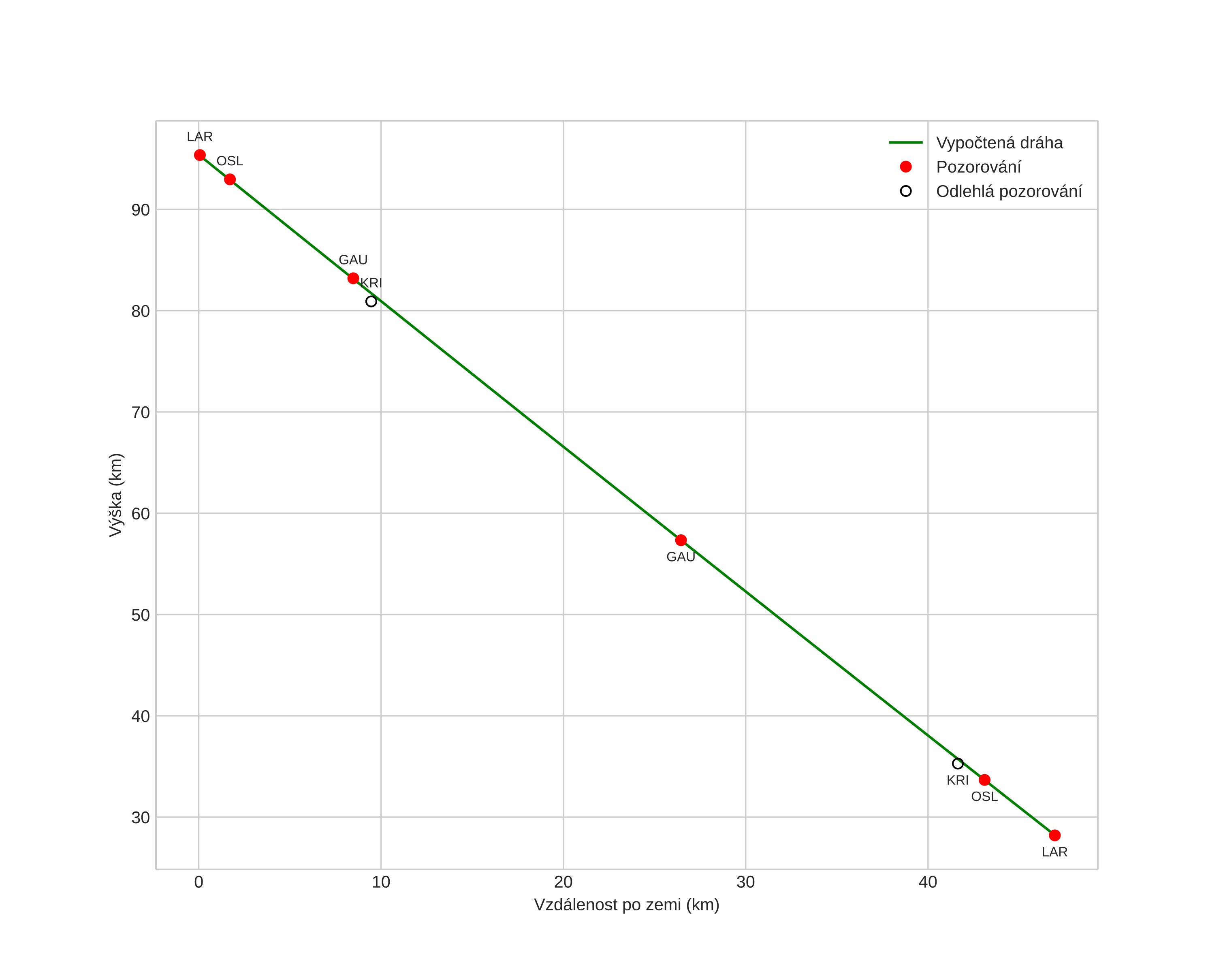
height profile
Atmosférická dráha meteoru:
Počáteční výška: 95,2 km
Konečná výška: 28,0 km
Počáteční poloha: 58,267N 8,457E
Konečná poloha: 58,660N 8,785E
Směr: 23,5°
Sklon: 54,7°
VstupnĂ­ rychlost: 18,6 km/s
Rektascenze radiantu: 09:01 (135,3°)
Deklinace radiantu: 20,5°
MeteorickĂ˝ roj: sporadickĂ˝
Elementy dráhy meteoroidu:
Vzdálenost v periheliu: 0,695 AU
Excentricita: 0,510
Sklon dráhy: 1,7°
Délka vzestupného uzlu: 314,5°
Argument perihelia: 262,8°
Střední anomálie: 330,1°
Epocha: 2023 FEB 04 00:38:59
orbit plot

NeinteraktivnĂ­ graf | InteraktivnĂ­ graf

position vs time
speed and acceleration