🇳🇴 🇬🇧 🇩🇪 🇨🇿 🇫🇮

Meteor, poloha: Mjøndalen 2023-02-13 18:47:56 UTC

Soubor KML  |  InteraktivnĂ­ mapa

Mapa zobrazuje dráhy meteoru. Světlejší čáry ukazují směry od pozorovacích stanic při objevení se meteoru a tmavší čáry, kde byl naposledy viděn. Modrá šipka značí viditelnou dráhu meteoru.

static map
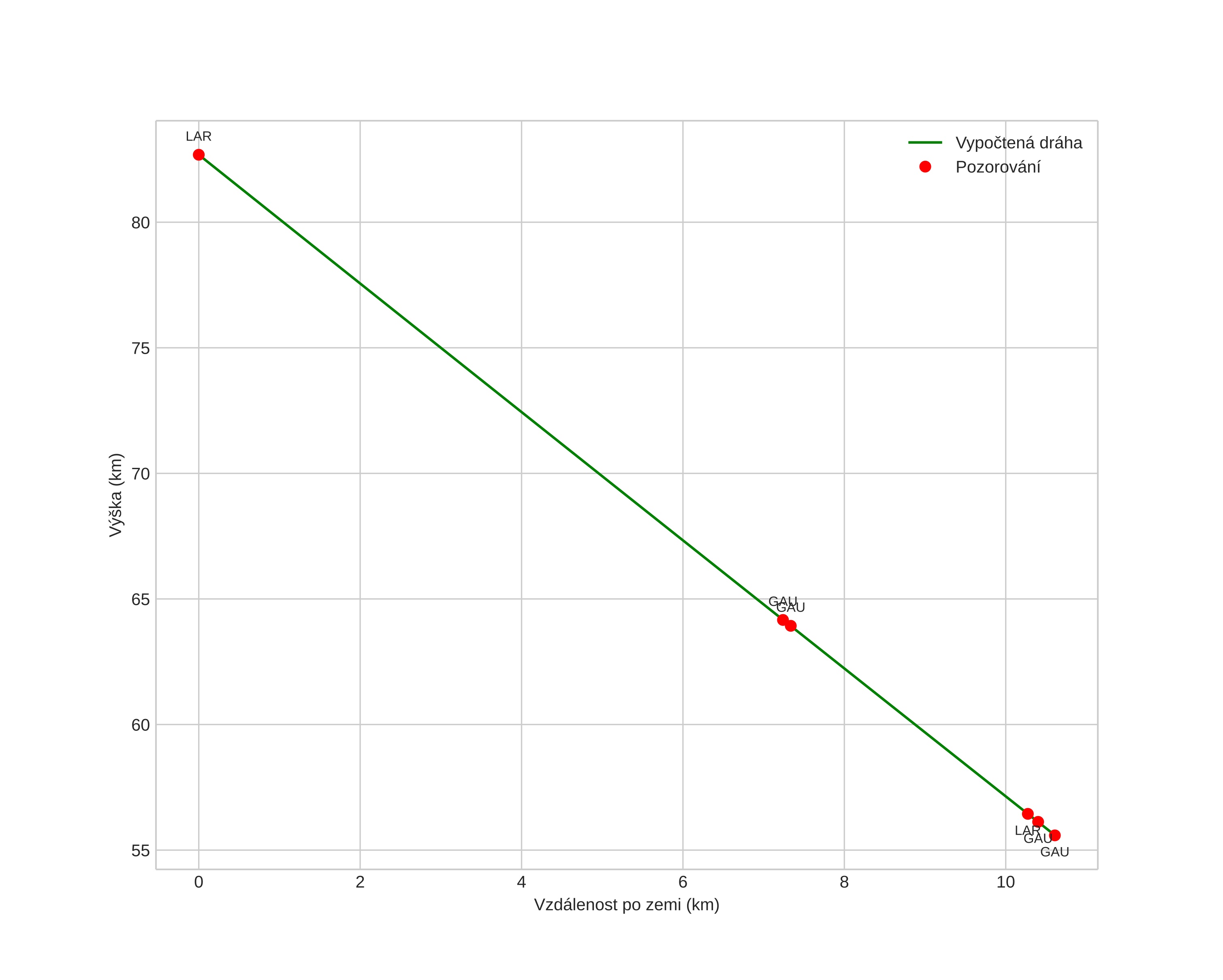
height profile
Atmosférická dráha meteoru:
Počáteční výška: 82,9 km
Konečná výška: 56,1 km
Počáteční poloha: 59,689N 9,804E
Konečná poloha: 59,645N 9,970E
Směr: 117,7°
Sklon: 68,6°
VstupnĂ­ rychlost: 14,7 km/s
Rektascenze radiantu: 01:17 (19,4°)
Deklinace radiantu: 60,5°
MeteorickĂ˝ roj: sporadickĂ˝
Elementy dráhy meteoroidu:
Vzdálenost v periheliu: 0,986 AU
Excentricita: 0,556
Sklon dráhy: 10,9°
Délka vzestupného uzlu: 324,5°
Argument perihelia: 174,8°
Střední anomálie: 1,2°
Epocha: 2023 FEB 13 18:47:56
orbit plot

NeinteraktivnĂ­ graf | InteraktivnĂ­ graf

position vs time
speed and acceleration