🇳🇴 🇬🇧 🇩🇪 🇨🇿 🇫🇮

Meteor, poloha: Lerwick 2023-02-13 21:51:33 UTC

Soubor KML  |  InteraktivnĂ­ mapa

Mapa zobrazuje dráhy meteoru. Světlejší čáry ukazují směry od pozorovacích stanic při objevení se meteoru a tmavší čáry, kde byl naposledy viděn. Modrá šipka značí viditelnou dráhu meteoru.

static map
height profile
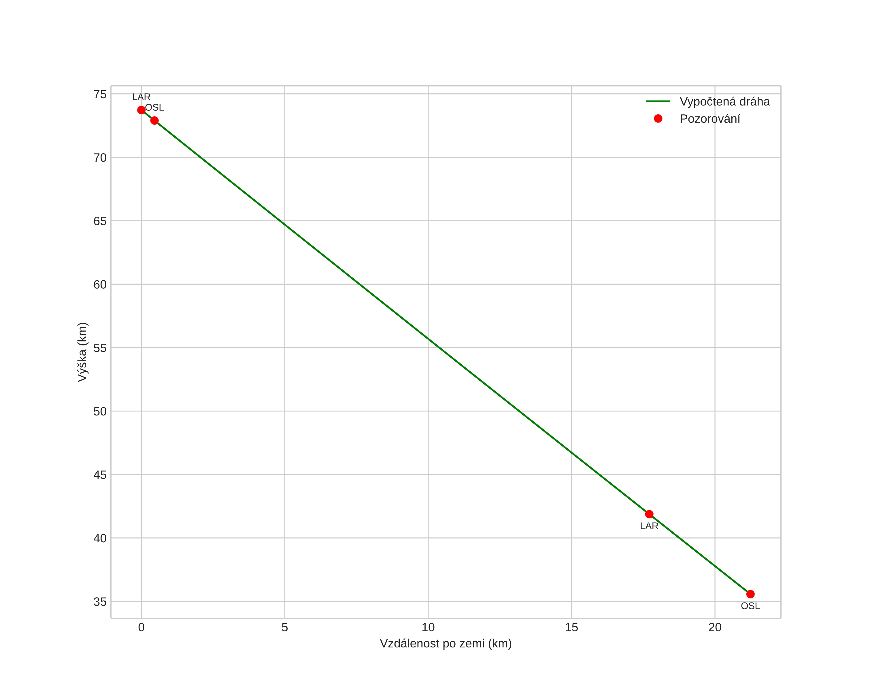
Atmosférická dráha meteoru:
Počáteční výška: 73,7 km
Konečná výška: 35,6 km
Počáteční poloha: 58,933N 1,783E
Konečná poloha: 59,123N 1,756E
Směr: 355,9°
Sklon: 60,9°
VstupnĂ­ rychlost: 23,7 km/s
Rektascenze radiantu: 07:38 (114,6°)
Deklinace radiantu: 27,9°
MeteorickĂ˝ roj: sporadickĂ˝
Elementy dráhy meteoroidu:
Vzdálenost v periheliu: 0,856 AU
Excentricita: 1,212
Sklon dráhy: 3,2°
Délka vzestupného uzlu: 324,6°
Argument perihelia: 220,8°
Střední anomálie: -2,9°
Epocha: 2023 FEB 13 21:51:33
orbit plot

NeinteraktivnĂ­ graf | InteraktivnĂ­ graf

position vs time
speed and acceleration