🇳🇴 🇬🇧 🇩🇪 🇨🇿 🇫🇮

Meteor, poloha: Rødberg 2023-02-14 05:48:24 UTC

Soubor KML  |  InteraktivnĂ­ mapa

Mapa zobrazuje dráhy meteoru. Světlejší čáry ukazují směry od pozorovacích stanic při objevení se meteoru a tmavší čáry, kde byl naposledy viděn. Modrá šipka značí viditelnou dráhu meteoru.

static map
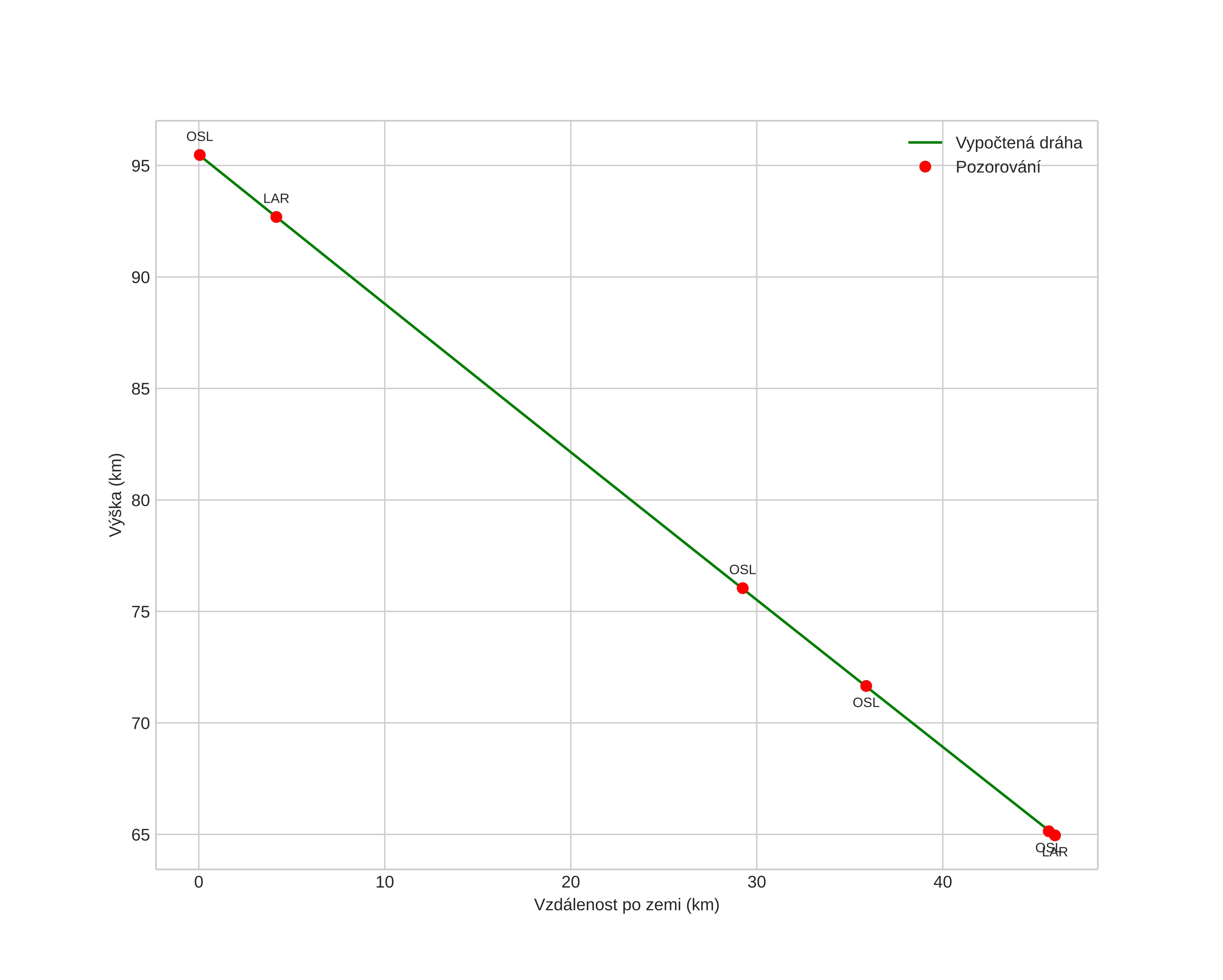
height profile
Atmosférická dráha meteoru:
Počáteční výška: 95,6 km
Konečná výška: 65,0 km
Počáteční poloha: 60,106N 9,689E
Konečná poloha: 60,032N 8,870E
Směr: 260,1°
Sklon: 33,5°
VstupnĂ­ rychlost: 26,9 km/s
Rektascenze radiantu: 21:27 (321,9°)
Deklinace radiantu: 31,2°
MeteorickĂ˝ roj: sporadickĂ˝
Elementy dráhy meteoroidu:
Vzdálenost v periheliu: 0,807 AU
Excentricita: 0,950
Sklon dráhy: 26,0°
Délka vzestupného uzlu: 324,9°
Argument perihelia: 128,7°
Střední anomálie: 0,5°
Epocha: 2023 FEB 14 05:48:24
orbit plot

NeinteraktivnĂ­ graf | InteraktivnĂ­ graf

position vs time
speed and acceleration