🇳🇴 🇬🇧 🇩🇪 🇨🇿 🇫🇮

Meteor Evenskjerin yllä 2023-02-15 17:29:58 UTC

KML-tiedosto  |  Interaktiivinen kartta

Kartta näyttää meteorin suuntahavainnot. Vaaleammat viivat näyttävät suunnat havaintoasemilta meteorin ilmestyessä, ja tummemmat viivat näyttävät, missä se viimeksi nähtiin. Sininen nuoli näyttää meteorin näkyvän lennon.

static map
height profile
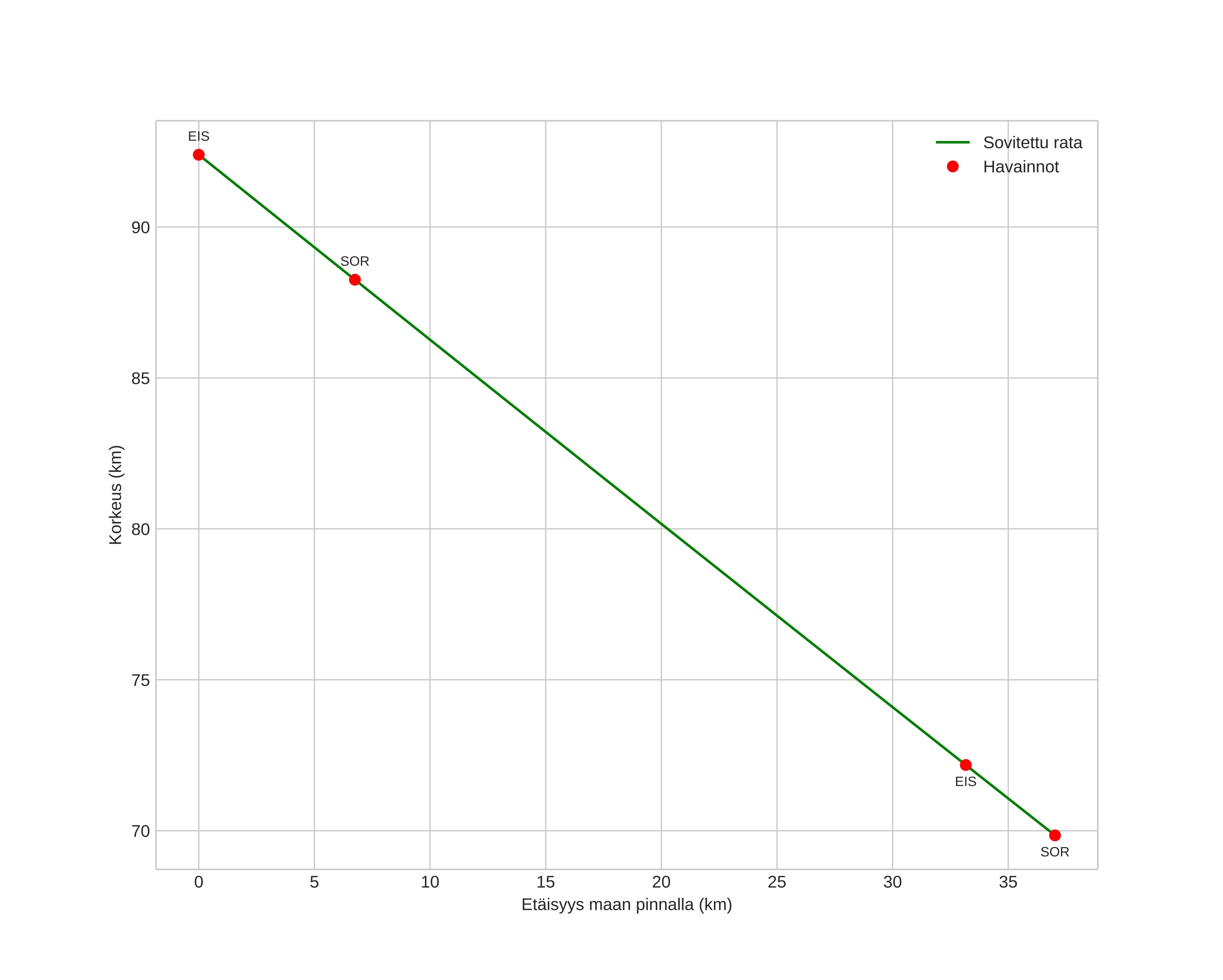
Meteorin ilmakehärata:
Alkukorkeus: 92,9 km
Loppukorkeus: 69,7 km
Alkupiste: 68,518N 16,145E
Loppupiste: 68,236N 16,570E
Suunta: 150,8°
Kallistuskulma: 32,9°
Tulonopeus: 28,3 km/s
Radiantin R,A,: 18:54 (283,5°)
Radiantin Dekl,: 48,0°
Meteoriparvi: Sporadinen
Meteoroidin rataelementit:
Perihelietäisyys: 0,917 AU
Eksentrisyys: 0,528
Inklinaatio: 43,6°
Nousevan solmun pituus: 326,4°
Perihelin argumentti: 142,3°
Keskianomalia: 10,4°
Epookki: 2023 FEB 15 17:29:58
orbit plot

Ei-interaktiivinen kuvaaja | Interaktiivinen kuvaaja

position vs time
speed and acceleration