🇳🇴 🇬🇧 🇩🇪 🇨🇿 🇫🇮

Meteor, poloha: Løkken 2023-02-18 21:32:29 UTC

Soubor KML  |  InteraktivnĂ­ mapa

Mapa zobrazuje dráhy meteoru. Světlejší čáry ukazují směry od pozorovacích stanic při objevení se meteoru a tmavší čáry, kde byl naposledy viděn. Modrá šipka značí viditelnou dráhu meteoru.

static map
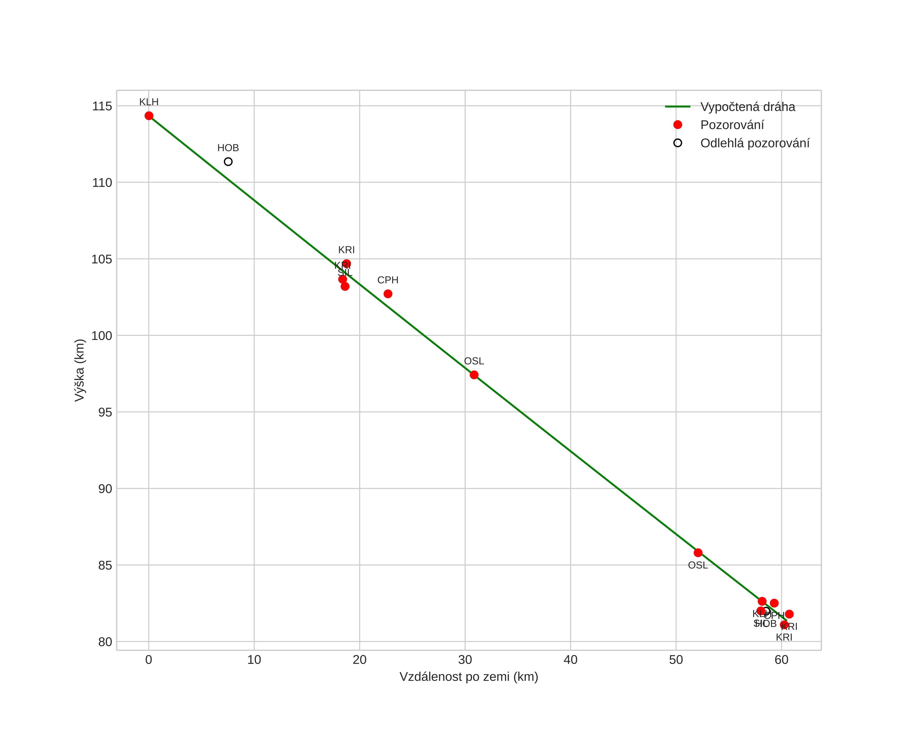
height profile
Atmosférická dráha meteoru:
Počáteční výška: 114,3 km
Konečná výška: 81,4 km
Počáteční poloha: 57,669N 10,542E
Konečná poloha: 57,377N 9,686E
Směr: 237,9°
Sklon: 28,5°
VstupnĂ­ rychlost: 47,4 km/s
Rektascenze radiantu: 14:53 (223,3°)
Deklinace radiantu: 40,3°
MeteorickĂ˝ roj: sporadickĂ˝
Elementy dráhy meteoroidu:
Vzdálenost v periheliu: 0,822 AU
Excentricita: 0,906
Sklon dráhy: 77,1°
Délka vzestupného uzlu: 329,6°
Argument perihelia: 229,8°
Střední anomálie: 358,8°
Epocha: 2023 FEB 18 21:32:29
orbit plot

NeinteraktivnĂ­ graf | InteraktivnĂ­ graf

position vs time
speed and acceleration