🇳🇴 🇬🇧 🇩🇪 🇨🇿 🇫🇮

Meteor, poloha: Noresund 2023-02-24 21:15:56 UTC

Soubor KML  |  InteraktivnĂ­ mapa

Mapa zobrazuje dráhy meteoru. Světlejší čáry ukazují směry od pozorovacích stanic při objevení se meteoru a tmavší čáry, kde byl naposledy viděn. Modrá šipka značí viditelnou dráhu meteoru.

static map
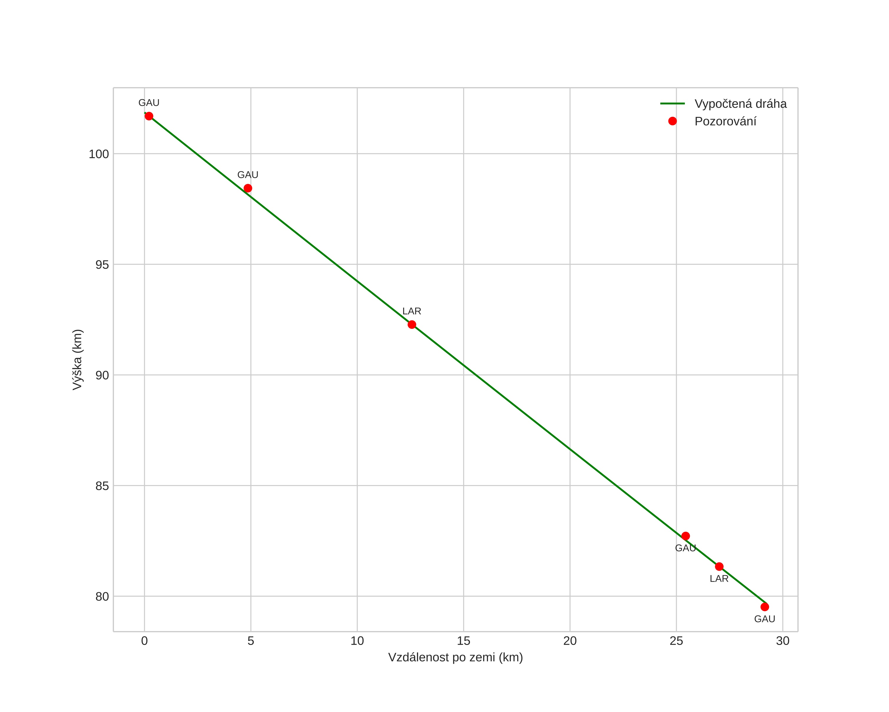
height profile
Atmosférická dráha meteoru:
Počáteční výška: 98,5 km
Konečná výška: 78,7 km
Počáteční poloha: 60,062N 9,925E
Konečná poloha: 60,211N 9,571E
Směr: 310,3°
Sklon: 37,6°
VstupnĂ­ rychlost: 28,1 km/s
Rektascenze radiantu: 10:49 (162,4°)
Deklinace radiantu: 13,8°
MeteorickĂ˝ roj: sporadickĂ˝
Elementy dráhy meteoroidu:
Vzdálenost v periheliu: 0,510 AU
Excentricita: 0,814
Sklon dráhy: 5,2°
Délka vzestupného uzlu: 335,7°
Argument perihelia: 274,6°
Střední anomálie: 350,6°
Epocha: 2023 FEB 24 21:15:56
orbit plot

NeinteraktivnĂ­ graf | InteraktivnĂ­ graf

position vs time
speed and acceleration