🇳🇴 🇬🇧 🇩🇪 🇨🇿 🇫🇮

Meteor, poloha: Skive 2023-02-26 02:35:54 UTC

Soubor KML  |  InteraktivnĂ­ mapa

Mapa zobrazuje dráhy meteoru. Světlejší čáry ukazují směry od pozorovacích stanic při objevení se meteoru a tmavší čáry, kde byl naposledy viděn. Modrá šipka značí viditelnou dráhu meteoru.

static map
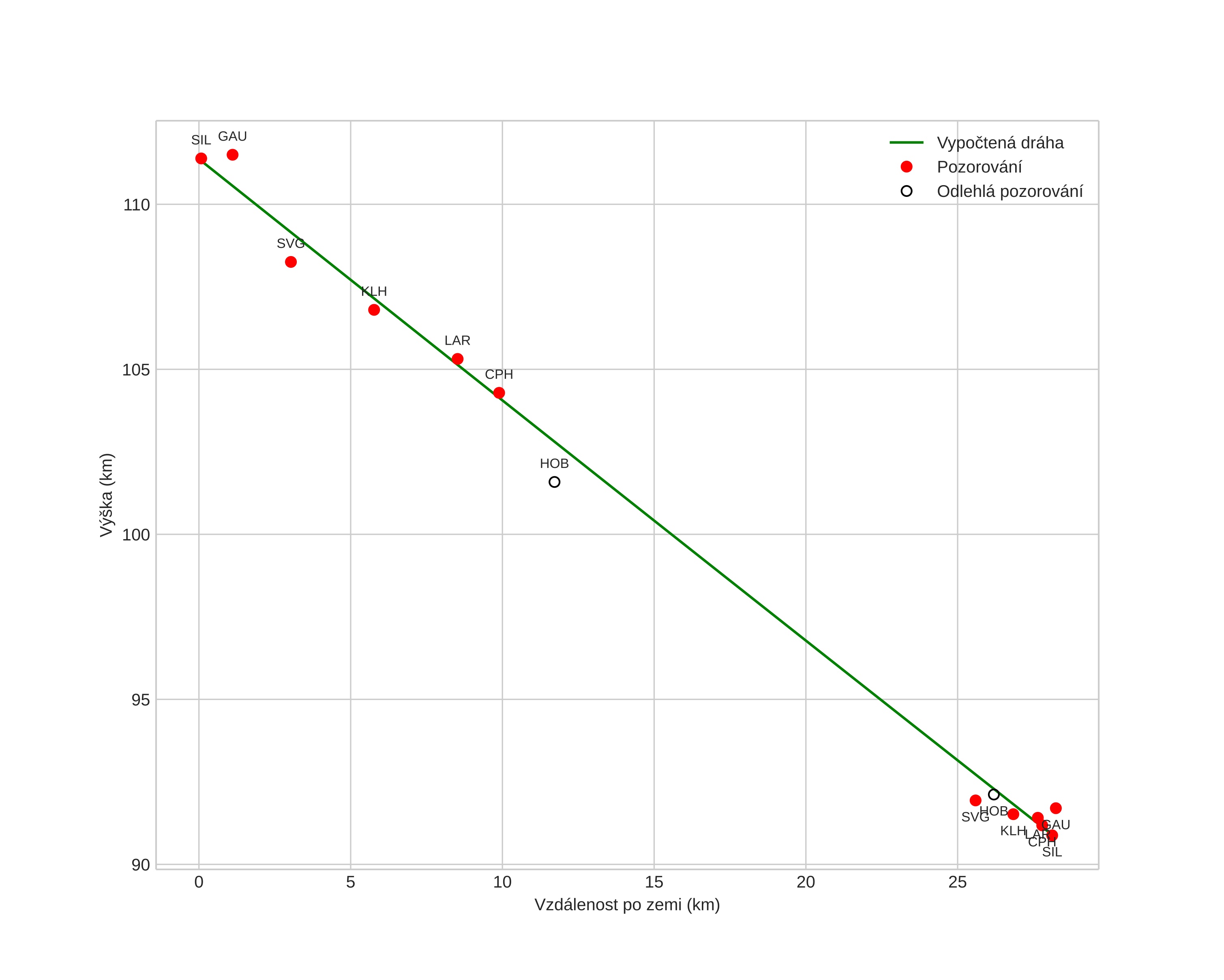
height profile
Atmosférická dráha meteoru:
Počáteční výška: 111,4 km
Konečná výška: 90,9 km
Počáteční poloha: 56,453N 9,435E
Konečná poloha: 56,507N 8,988E
Směr: 282,6°
Sklon: 36,1°
VstupnĂ­ rychlost: 61,2 km/s
Rektascenze radiantu: 17:31 (263,0°)
Deklinace radiantu: 22,8°
MeteorickĂ˝ roj: sporadickĂ˝
Elementy dráhy meteoroidu:
Vzdálenost v periheliu: 0,945 AU
Excentricita: 1,304
Sklon dráhy: 103,5°
Délka vzestupného uzlu: 336,9°
Argument perihelia: 157,0°
Střední anomálie: 2,6°
Epocha: 2023 FEB 26 02:35:54
orbit plot

NeinteraktivnĂ­ graf | InteraktivnĂ­ graf

position vs time
speed and acceleration