🇳🇴 🇬🇧 🇩🇪 🇨🇿 🇫🇮

Meteor, poloha: Højer 2023-02-26 03:15:14 UTC

Soubor KML  |  InteraktivnĂ­ mapa

Mapa zobrazuje dráhy meteoru. Světlejší čáry ukazují směry od pozorovacích stanic při objevení se meteoru a tmavší čáry, kde byl naposledy viděn. Modrá šipka značí viditelnou dráhu meteoru.

static map
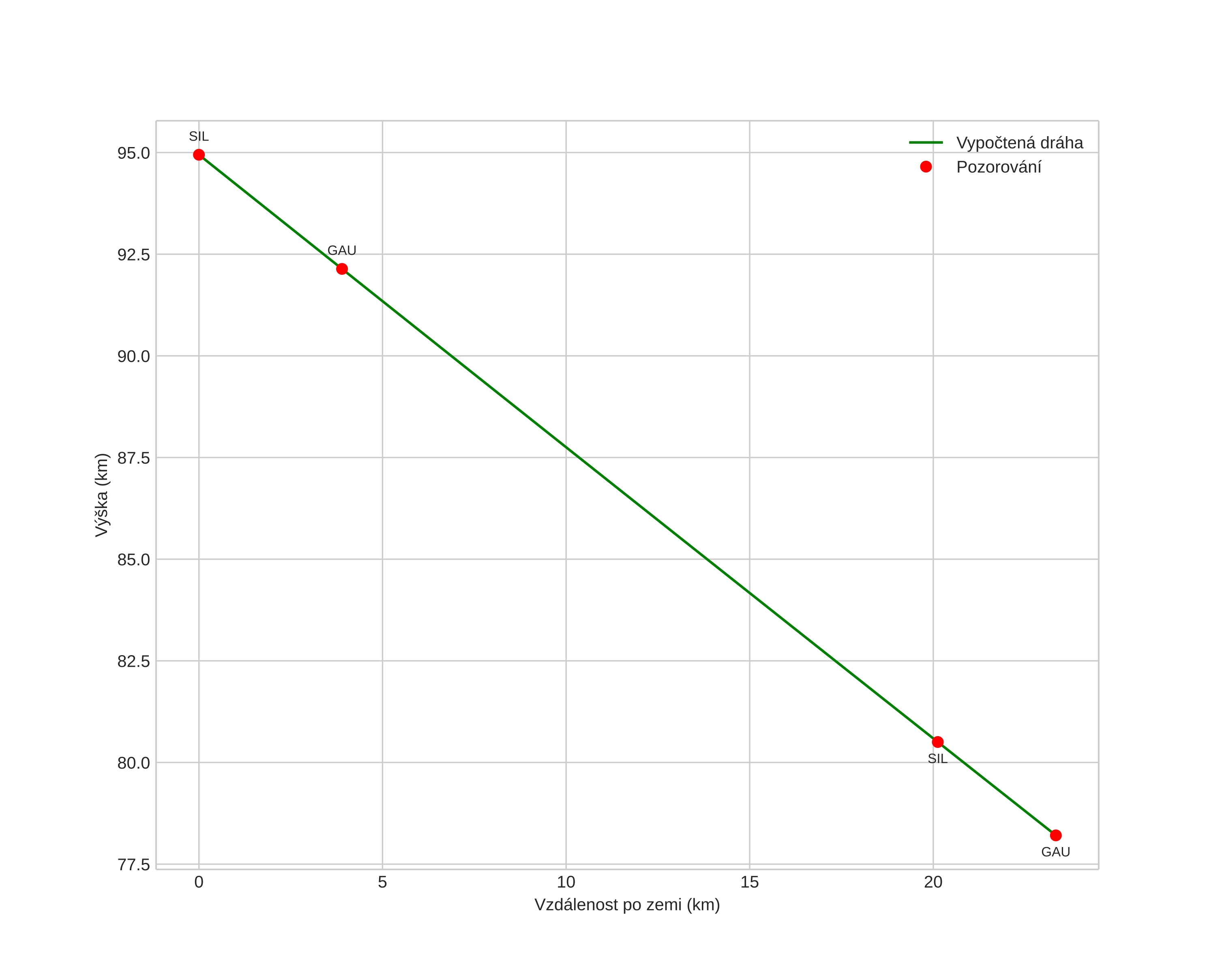
height profile
Atmosférická dráha meteoru:
Počáteční výška: 94,9 km
Konečná výška: 78,2 km
Počáteční poloha: 55,110N 9,019E
Konečná poloha: 54,960N 8,762E
Směr: 224,6°
Sklon: 35,6°
VstupnĂ­ rychlost: 34,0 km/s
Rektascenze radiantu: 21:17 (319,3°)
Deklinace radiantu: 53,0°
MeteorickĂ˝ roj: sporadickĂ˝
Elementy dráhy meteoroidu:
Vzdálenost v periheliu: 0,911 AU
Excentricita: 1,422
Sklon dráhy: 39,4°
Délka vzestupného uzlu: 336,9°
Argument perihelia: 149,8°
Střední anomálie: 5,6°
Epocha: 2023 FEB 26 03:15:14
orbit plot

NeinteraktivnĂ­ graf | InteraktivnĂ­ graf

position vs time
speed and acceleration