🇳🇴 🇬🇧 🇩🇪 🇨🇿 🇫🇮

Meteor, poloha: Hanstholm 2023-02-26 20:53:30 UTC

Soubor KML  |  InteraktivnĂ­ mapa

Mapa zobrazuje dráhy meteoru. Světlejší čáry ukazují směry od pozorovacích stanic při objevení se meteoru a tmavší čáry, kde byl naposledy viděn. Modrá šipka značí viditelnou dráhu meteoru.

static map
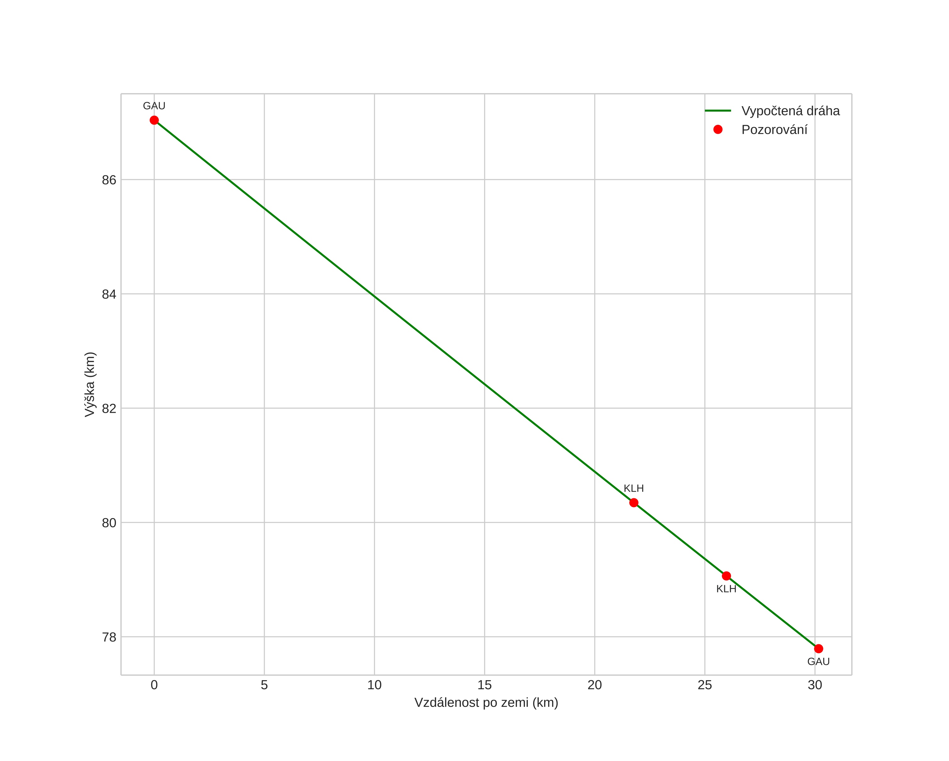
height profile
Atmosférická dráha meteoru:
Počáteční výška: 89,6 km
Konečná výška: 76,5 km
Počáteční poloha: 57,321N 8,928E
Konečná poloha: 57,598N 8,497E
Směr: 320,3°
Sklon: 18,1°
VstupnĂ­ rychlost: 24,3 km/s
Rektascenze radiantu: 10:29 (157,4°)
Deklinace radiantu: -12,2°
MeteorickĂ˝ roj: sporadickĂ˝
Elementy dráhy meteoroidu:
Vzdálenost v periheliu: 0,562 AU
Excentricita: 0,636
Sklon dráhy: 14,8°
Délka vzestupného uzlu: 157,7°
Argument perihelia: 96,4°
Střední anomálie: 334,5°
Epocha: 2023 FEB 26 20:53:30
orbit plot

NeinteraktivnĂ­ graf | InteraktivnĂ­ graf

position vs time
speed and acceleration