🇳🇴 🇬🇧 🇩🇪 🇨🇿 🇫🇮

Meteor, poloha: Lampeland 2023-02-27 20:50:58 UTC

Gaustatoppen – 7
Gaustatoppen – 7
Larvik – 1
Larvik – 1
Voksenlia – 3
Voksenlia – 3

Soubor KML  | Interaktivní mapa

map

Mapa zobrazuje dráhy meteoru. Světlejší čáry ukazují směry od pozorovacích stanic při objevení se meteoru a tmavší čáry, kde byl naposledy viděn. Modrá šipka značí viditelnou dráhu meteoru.

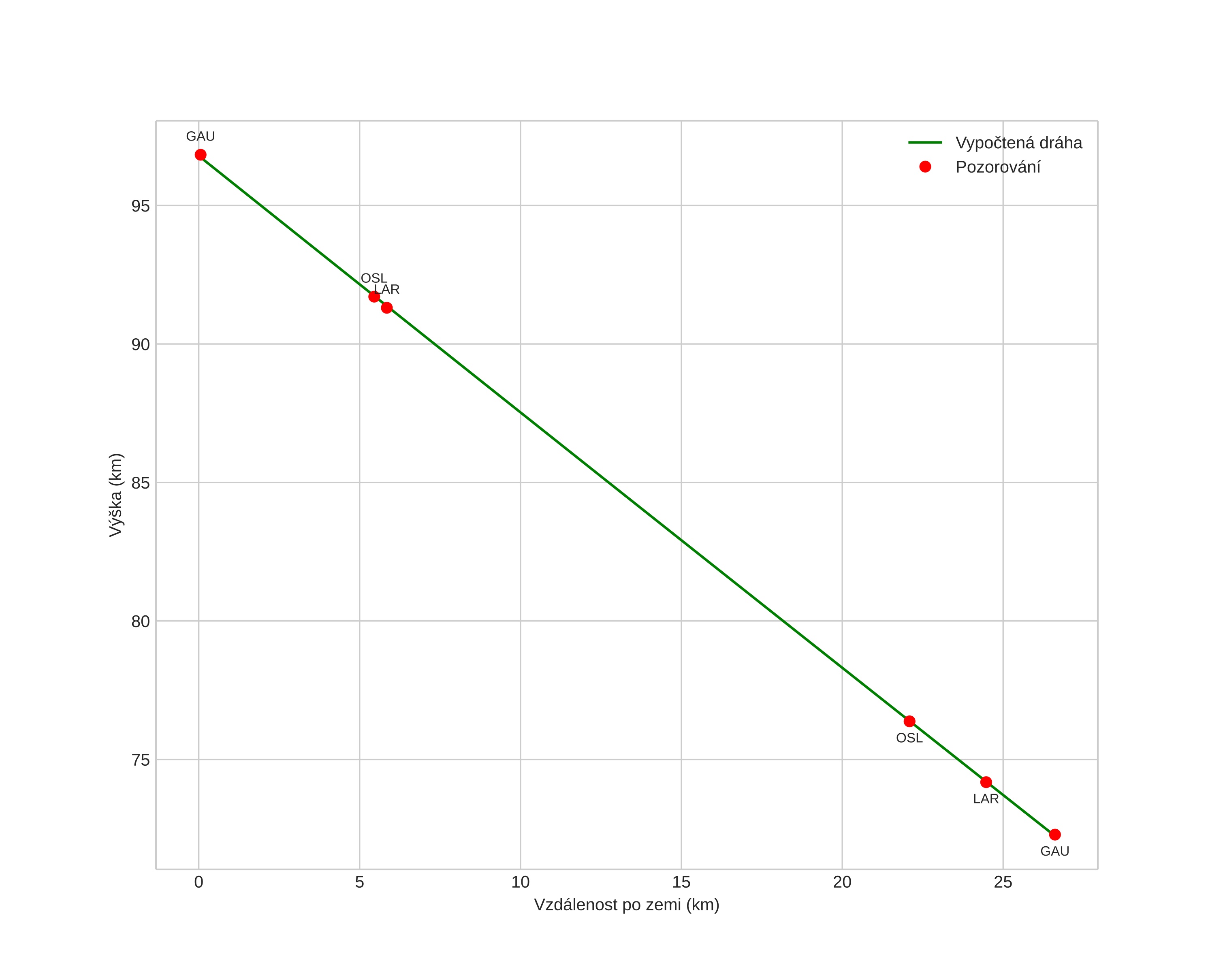
height profile
Atmosférická dráha meteoru:
Počáteční výška: 97,3 km
Konečná výška: 72,2 km
Počáteční poloha: 59,752N 9,949E
Konečná poloha: 59,895N 9,560E
Směr: 306,4°
Sklon: 42,9°
Vstupní rychlost: 25,1 km/s
Rektascenze radiantu: 10:39 (159,8°)
Deklinace radiantu: 19,4°
Meteorický roj: sporadický
Elementy dráhy meteoroidu:
Vzdálenost v periheliu: 0,637 AU
Excentricita: 0,788
Sklon dráhy: 7,0°
Délka vzestupného uzlu: 338,7°
Argument perihelia: 259,0°
Střední anomálie: 352,0°
Epocha: 2023 FEB 27 20:50:58
orbit

Neinteraktivní graf | Interaktivní graf

position vs time
speed & acceleration