🇳🇴 🇬🇧 🇩🇪 🇨🇿 🇫🇮

Meteor Dronninglundin yllä 2023-02-28 01:24:24 UTC

KML-tiedosto  |  Interaktiivinen kartta

Kartta näyttää meteorin suuntahavainnot. Vaaleammat viivat näyttävät suunnat havaintoasemilta meteorin ilmestyessä, ja tummemmat viivat näyttävät, missä se viimeksi nähtiin. Sininen nuoli näyttää meteorin näkyvän lennon.

static map
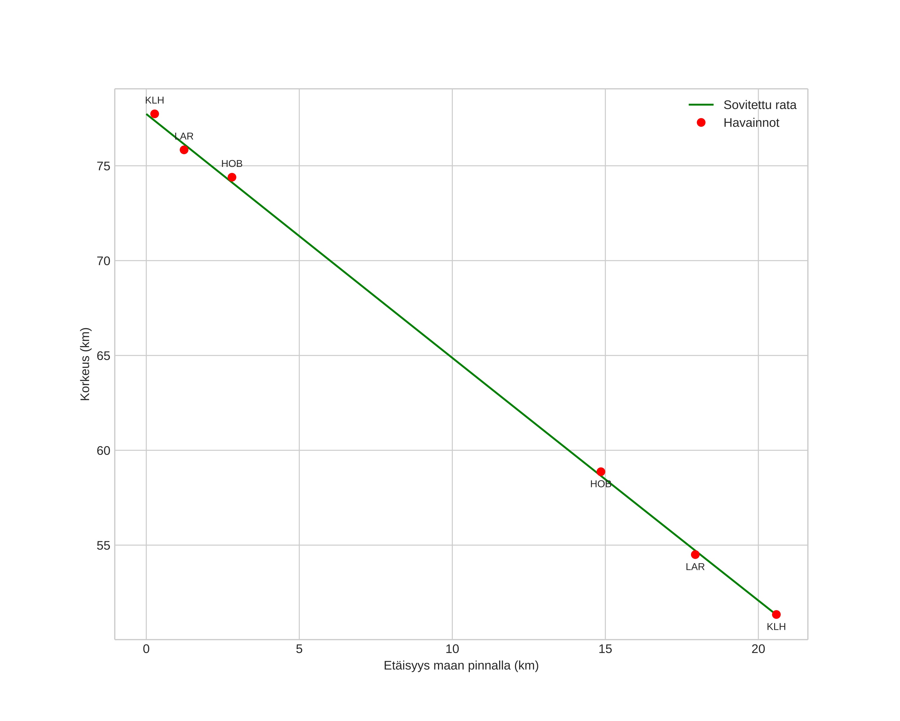
height profile
Meteorin ilmakehärata:
Alkukorkeus: 77,7 km
Loppukorkeus: 51,3 km
Alkupiste: 57,156N 9,989E
Loppupiste: 57,221N 10,308E
Suunta: 69,1°
Kallistuskulma: 52,1°
Tulonopeus: 18,0 km/s
Radiantin R,A,: 09:25 (141,3°)
Radiantin Dekl,: 28,8°
Meteoriparvi: Sporadinen
Meteoroidin rataelementit:
Perihelietäisyys: 0,859 AU
Eksentrisyys: 0,663
Inklinaatio: 5,1°
Nousevan solmun pituus: 338,9°
Perihelin argumentti: 228,1°
Keskianomalia: 352,0°
Epookki: 2023 FEB 28 01:24:24
orbit plot

Ei-interaktiivinen kuvaaja | Interaktiivinen kuvaaja

position vs time
speed and acceleration