🇳🇴 🇬🇧 🇩🇪 🇨🇿 🇫🇮

Meteor Smögenin yllä 2023-02-28 19:52:55 UTC

KML-tiedosto  |  Interaktiivinen kartta

Kartta näyttää meteorin suuntahavainnot. Vaaleammat viivat näyttävät suunnat havaintoasemilta meteorin ilmestyessä, ja tummemmat viivat näyttävät, missä se viimeksi nähtiin. Sininen nuoli näyttää meteorin näkyvän lennon.

static map
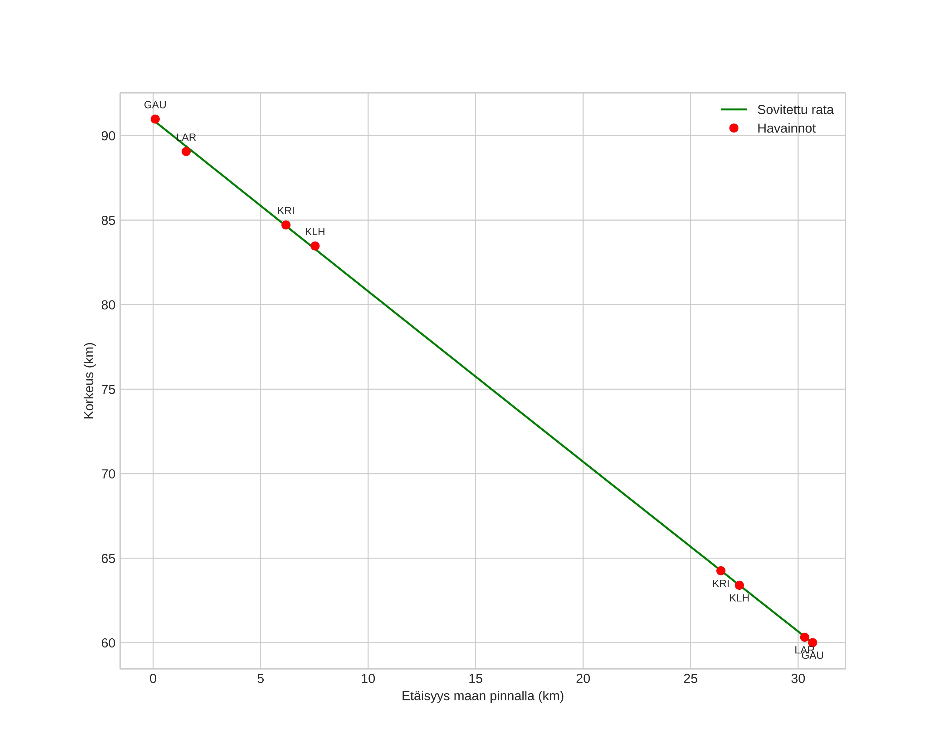
height profile
Meteorin ilmakehärata:
Alkukorkeus: 90,4 km
Loppukorkeus: 60,9 km
Alkupiste: 58,328N 11,647E
Loppupiste: 58,437N 11,191E
Suunta: 294,7°
Kallistuskulma: 45,3°
Tulonopeus: 22,7 km/s
Radiantin R,A,: 10:19 (154,9°)
Radiantin Dekl,: 24,3°
Meteoriparvi: Sporadinen
Meteoroidin rataelementit:
Perihelietäisyys: 0,735 AU
Eksentrisyys: 0,765
Inklinaatio: 7,3°
Nousevan solmun pituus: 339,6°
Perihelin argumentti: 246,2°
Keskianomalia: 353,0°
Epookki: 2023 FEB 28 19:52:55
orbit plot

Ei-interaktiivinen kuvaaja | Interaktiivinen kuvaaja

position vs time
speed and acceleration