🇳🇴 🇬🇧 🇩🇪 🇨🇿 🇫🇮

Meteor, poloha: Hagfors 2023-02-28 20:05:57 UTC

Soubor KML  |  InteraktivnĂ­ mapa

Mapa zobrazuje dráhy meteoru. Světlejší čáry ukazují směry od pozorovacích stanic při objevení se meteoru a tmavší čáry, kde byl naposledy viděn. Modrá šipka značí viditelnou dráhu meteoru.

static map
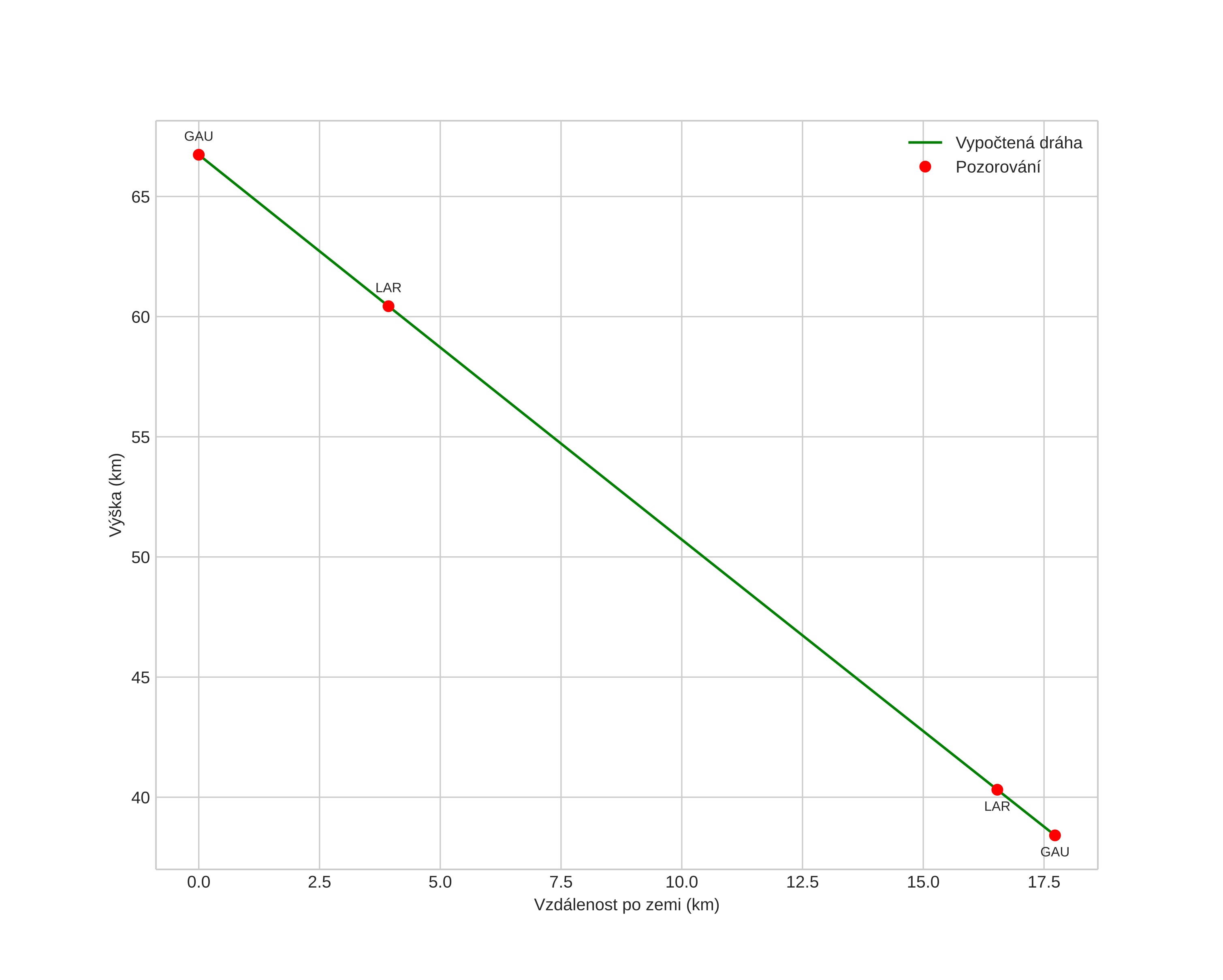
height profile
Atmosférická dráha meteoru:
Počáteční výška: 60,8 km
Konečná výška: 40,6 km
Počáteční poloha: 60,198N 13,905E
Konečná poloha: 60,114N 13,678E
Směr: 233,3°
Sklon: 52,2°
VstupnĂ­ rychlost: 13,9 km/s
Rektascenze radiantu: 13:53 (208,4°)
Deklinace radiantu: 54,4°
MeteorickĂ˝ roj: sporadickĂ˝
Elementy dráhy meteoroidu:
Vzdálenost v periheliu: 0,884 AU
Excentricita: 0,123
Sklon dráhy: 13,4°
Délka vzestupného uzlu: 339,6°
Argument perihelia: 269,0°
Střední anomálie: 285,0°
Epocha: 2023 FEB 28 20:05:57
orbit plot

NeinteraktivnĂ­ graf | InteraktivnĂ­ graf

position vs time
speed and acceleration