🇳🇴 🇬🇧 🇩🇪 🇨🇿 🇫🇮

Meteor, poloha: Myra 2023-03-01 18:27:11 UTC

Soubor KML  |  InteraktivnĂ­ mapa

Mapa zobrazuje dráhy meteoru. Světlejší čáry ukazují směry od pozorovacích stanic při objevení se meteoru a tmavší čáry, kde byl naposledy viděn. Modrá šipka značí viditelnou dráhu meteoru.

static map
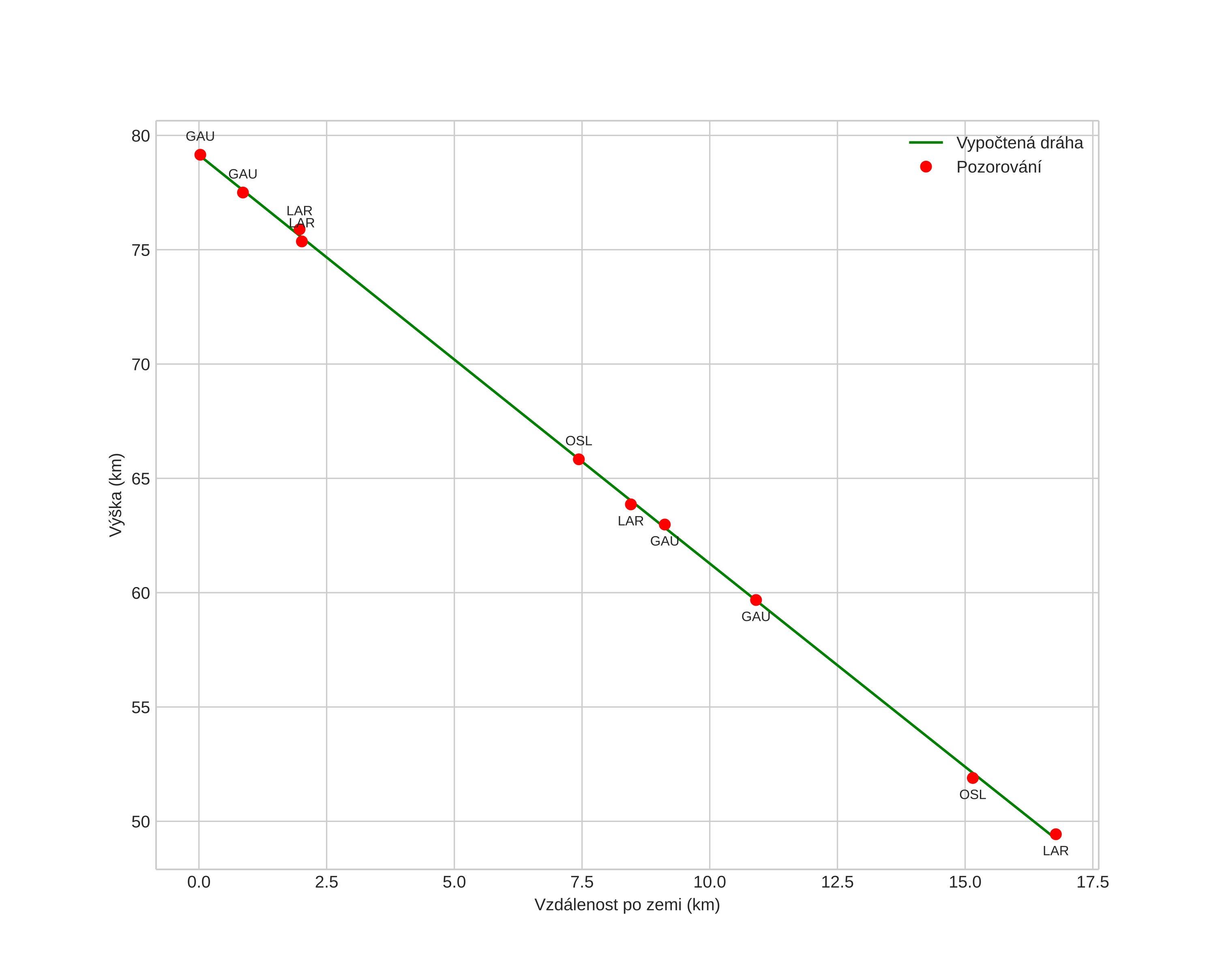
height profile
Atmosférická dráha meteoru:
Počáteční výška: 79,8 km
Konečná výška: 50,3 km
Počáteční poloha: 58,746N 9,019E
Konečná poloha: 58,871N 8,859E
Směr: 326,5°
Sklon: 60,5°
VstupnĂ­ rychlost: 14,8 km/s
Rektascenze radiantu: 06:57 (104,5°)
Deklinace radiantu: 26,3°
MeteorickĂ˝ roj: sporadickĂ˝
Elementy dráhy meteoroidu:
Vzdálenost v periheliu: 0,972 AU
Excentricita: 0,658
Sklon dráhy: 0,9°
Délka vzestupného uzlu: 340,5°
Argument perihelia: 197,9°
Střední anomálie: 357,2°
Epocha: 2023 MAR 01 18:27:11
orbit plot

NeinteraktivnĂ­ graf | InteraktivnĂ­ graf

position vs time
speed and acceleration