🇳🇴 🇬🇧 🇩🇪 🇨🇿 🇫🇮

Meteor, poloha: Siljan 2023-03-01 21:49:13 UTC

Soubor KML  |  InteraktivnĂ­ mapa

Mapa zobrazuje dráhy meteoru. Světlejší čáry ukazují směry od pozorovacích stanic při objevení se meteoru a tmavší čáry, kde byl naposledy viděn. Modrá šipka značí viditelnou dráhu meteoru.

static map
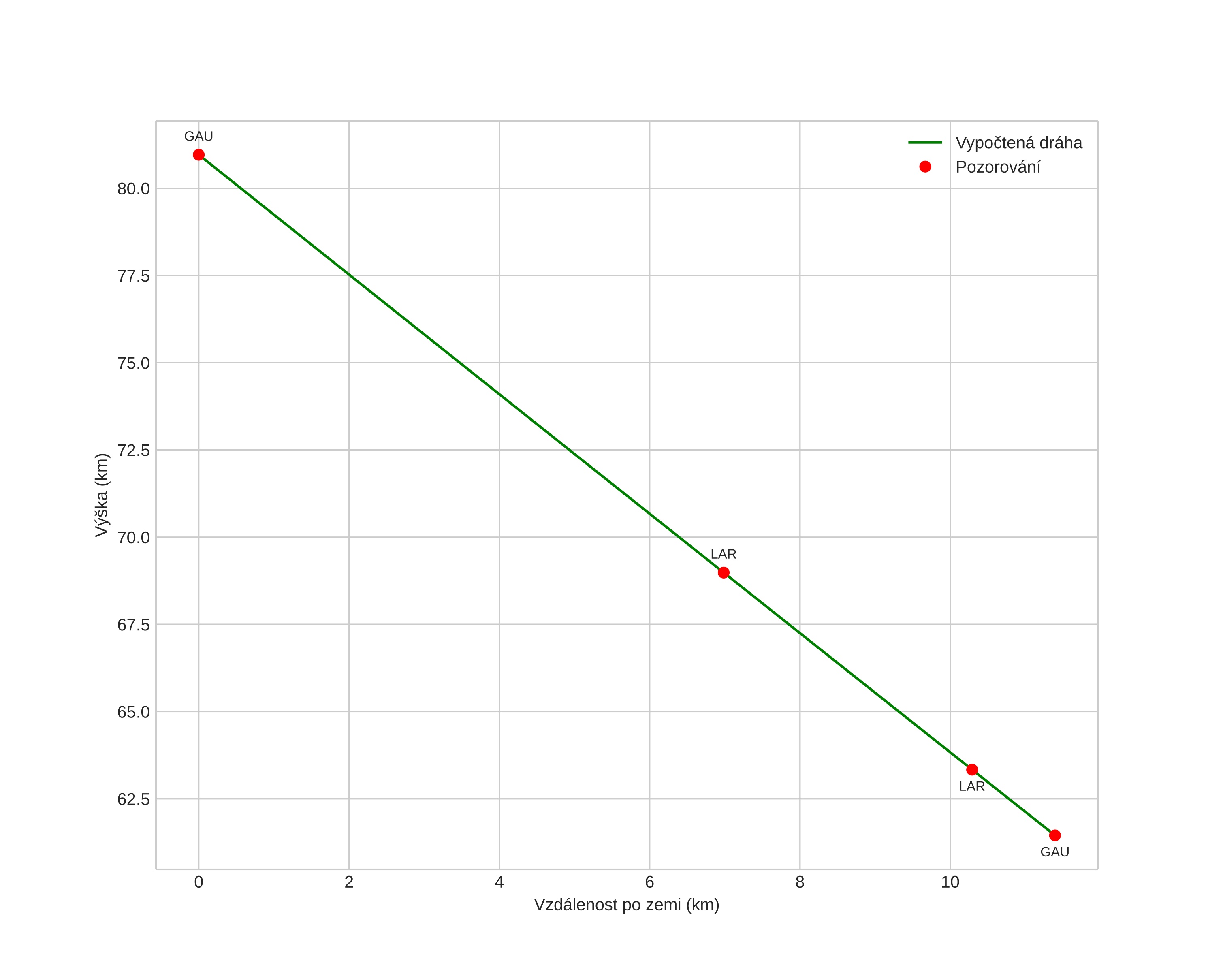
height profile
Atmosférická dráha meteoru:
Počáteční výška: 81,5 km
Konečná výška: 61,5 km
Počáteční poloha: 59,210N 9,731E
Konečná poloha: 59,270N 9,900E
Směr: 55,2°
Sklon: 59,7°
VstupnĂ­ rychlost: 14,6 km/s
Rektascenze radiantu: 06:40 (100,1°)
Deklinace radiantu: 30,4°
MeteorickĂ˝ roj: sporadickĂ˝
Elementy dráhy meteoroidu:
Vzdálenost v periheliu: 0,977 AU
Excentricita: 0,683
Sklon dráhy: 1,8°
Délka vzestupného uzlu: 340,7°
Argument perihelia: 195,0°
Střední anomálie: 357,9°
Epocha: 2023 MAR 01 21:49:13
orbit plot

NeinteraktivnĂ­ graf | InteraktivnĂ­ graf

position vs time
speed and acceleration