🇳🇴 🇬🇧 🇩🇪 🇨🇿 🇫🇮

Meteor, poloha: Torsby 2023-03-02 03:02:52 UTC

Soubor KML  |  InteraktivnĂ­ mapa

Mapa zobrazuje dráhy meteoru. Světlejší čáry ukazují směry od pozorovacích stanic při objevení se meteoru a tmavší čáry, kde byl naposledy viděn. Modrá šipka značí viditelnou dráhu meteoru.

static map
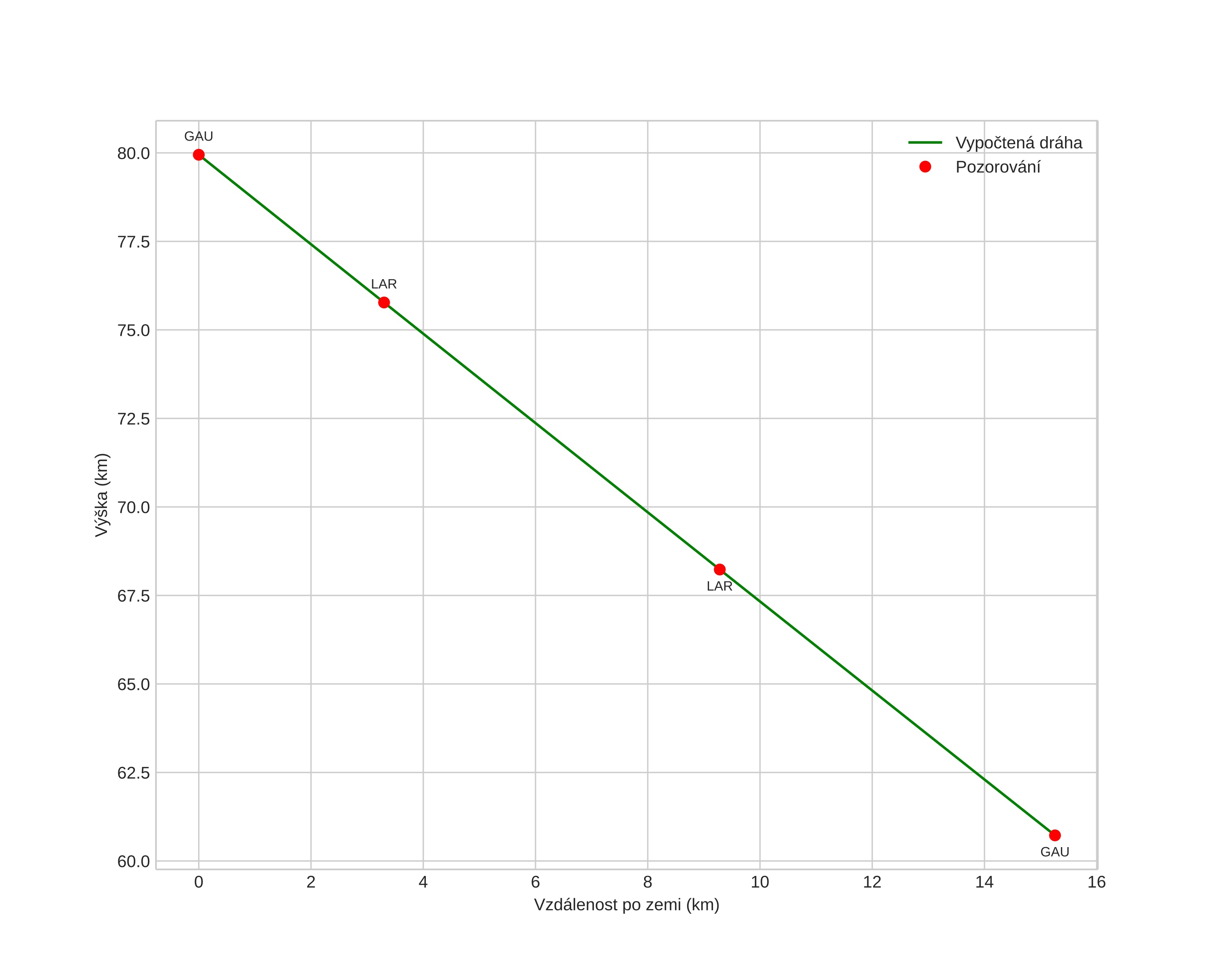
height profile
Atmosférická dráha meteoru:
Počáteční výška: 79,4 km
Konečná výška: 61,1 km
Počáteční poloha: 60,451N 12,337E
Konečná poloha: 60,420N 12,626E
Směr: 102,0°
Sklon: 48,5°
VstupnĂ­ rychlost: 19,3 km/s
Rektascenze radiantu: 09:36 (144,1°)
Deklinace radiantu: 42,4°
MeteorickĂ˝ roj: sporadickĂ˝
Elementy dráhy meteoroidu:
Vzdálenost v periheliu: 0,884 AU
Excentricita: 0,775
Sklon dráhy: 10,9°
Délka vzestupného uzlu: 340,9°
Argument perihelia: 221,1°
Střední anomálie: 356,5°
Epocha: 2023 MAR 02 03:02:52
orbit plot

NeinteraktivnĂ­ graf | InteraktivnĂ­ graf

position vs time
speed and acceleration