🇳🇴 🇬🇧 🇩🇪 🇨🇿 🇫🇮

Meteor, poloha: Aure 2023-03-04 03:28:07 UTC

Soubor KML  |  InteraktivnĂ­ mapa

Mapa zobrazuje dráhy meteoru. Světlejší čáry ukazují směry od pozorovacích stanic při objevení se meteoru a tmavší čáry, kde byl naposledy viděn. Modrá šipka značí viditelnou dráhu meteoru.

static map
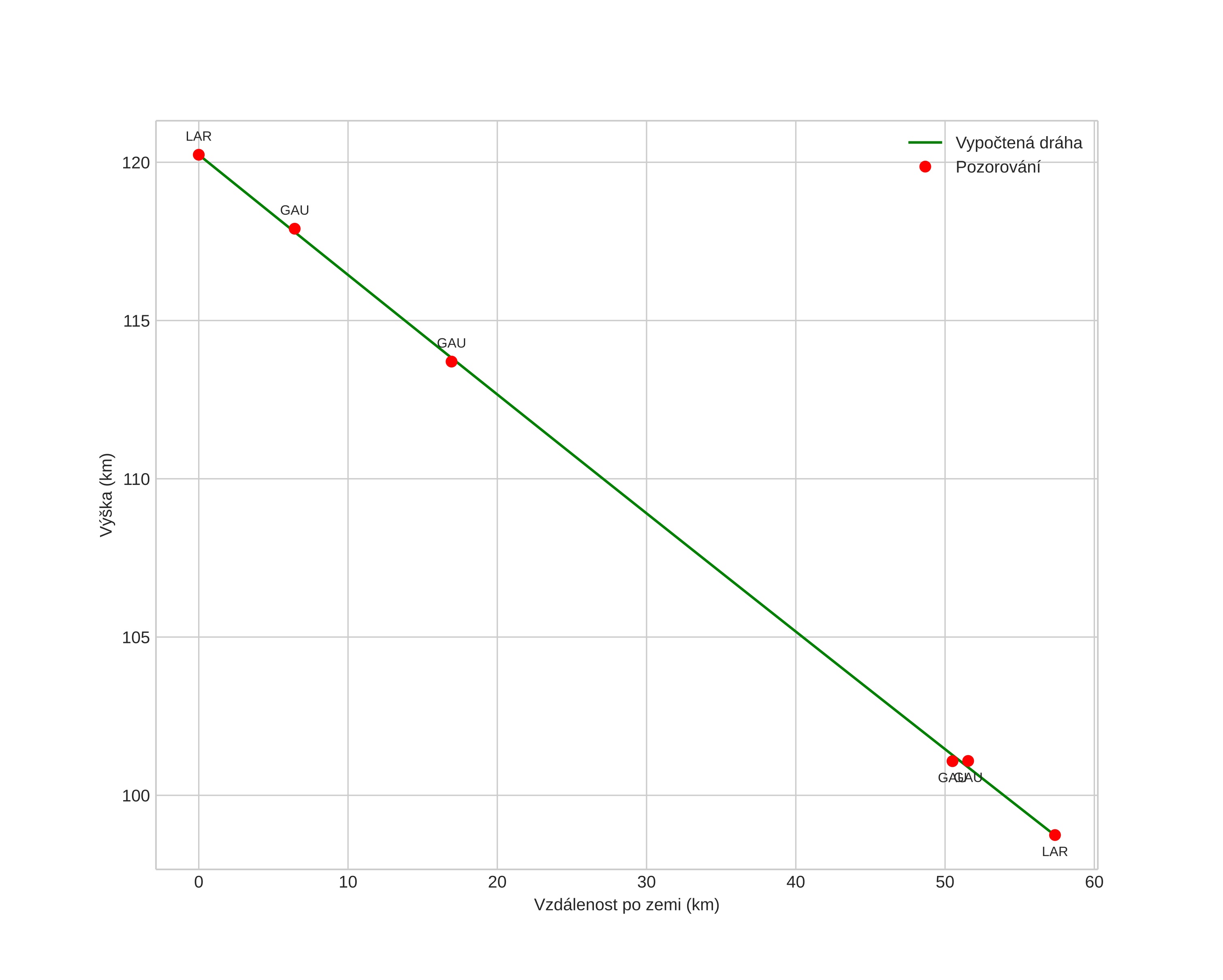
height profile
Atmosférická dráha meteoru:
Počáteční výška: 121,1 km
Konečná výška: 98,5 km
Počáteční poloha: 62,987N 8,262E
Konečná poloha: 63,483N 8,419E
Směr: 8,0°
Sklon: 22,1°
VstupnĂ­ rychlost: 70,7 km/s
Rektascenze radiantu: 14:15 (213,9°)
Deklinace radiantu: -5,1°
MeteorickĂ˝ roj: sporadickĂ˝
Elementy dráhy meteoroidu:
Vzdálenost v periheliu: 0,311 AU
Excentricita: 1,263
Sklon dráhy: 157,2°
Délka vzestupného uzlu: 343,0°
Argument perihelia: 283,3°
Střední anomálie: -23,7°
Epocha: 2023 MAR 04 03:28:07
orbit plot

NeinteraktivnĂ­ graf | InteraktivnĂ­ graf

position vs time
speed and acceleration